精英家教网 > 高中物理 > 题目详情
【选修3-5选做题】
倾角为θ的斜面固定在地面上,质量为M的物体A静止在斜面上,质量为m的物体B以某一速度向A运动,已知刚与A接触时,B的速度为v0,两者碰撞后迅速分开,设碰撞时间为t且极短,B物体与斜面的动摩擦因素为μ,碰撞接触后A获得的速度为,且3m>M>2m。试求:
(1)碰后瞬间B的速度。
(2)两物体碰撞过程中的平均作用力。
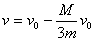
解:(1)由题知,两物体碰撞时间极短,故内力远大于外力。故AB组成的系统满足动量守恒定律。设碰后瞬间B 的速度为v,取下面向下为正方向,则有:
  
解得:
由3m>M>2m可以判断,v的方向沿斜面向下,且v<
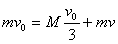
(2)以B为研究对象,B平行于斜面受到下滑力、滑动摩擦力以及A对B的作用力F,由动量定理可得:

解得:
练习册系列答案
相关习题

科目:高中物理 来源:模拟题 题型:计算题

【选修3-5选做题】
一个物体静置于光滑水平面上,外面扣一质量为M的盒子,如图1所示。现给盒子一初速度v0,此后,盒子运动的v-t图象呈周期性变化,如图2所示。请据此求盒内物体的质量。

查看答案和解析>>

科目:高中物理 来源:湖北省模拟题 题型:计算题

【选修3-5选做题】
如图所示,在光滑的水平桌面上有一长为L=2 m的木板C,它的两端各有一块挡板,C的质量为mC=5 kg,在C的中央并排放着两个可视为质点的滑块AB,其质量分别为mA=1 kg、mB=4 kg,开始时ABC均处于静止状态,并且AB间夹有少许炸药,炸药爆炸使得AvA=6 m/s的速度水平向左运动,不计一切摩擦,两滑块中任一块与挡板碰撞后就与挡板合成一体,爆炸与碰撞时间不计,求:
(1)当两滑块都与挡板碰撞后,板C的速度多大?
(2)从爆炸开始到两个滑块都与挡板碰撞为止,板C的位移多大?方向如何?

查看答案和解析>>

科目:高中物理 来源:模拟题 题型:计算题

【选修3-5选做题】
如图所示,固定在地面上的光滑圆弧轨道AB、EF,他们的圆心角均为90°,半径均为R。一质量为m、上表面长也为R的小车静止在光滑水平面CD上,小车上表面与轨道AB、EF的末端B、E相切。一质量为m的物体(大小不计)从轨道AB的A点由静止下滑,由末端B滑上小车,小车在摩擦力的作用下向右运动。当小车右端与壁DE刚接触时,物体m恰好滑动到小车右端相对于小车静止,同时小车与DE相碰后立即停止运动但不粘连,物体则继续滑上圆弧轨道EF,以后又滑下来冲上小车。求:
(1)物体从A点滑到B点时的速率和滑上EF前的瞬时速率;
(2)水平面CD的长度。

查看答案和解析>>

科目:高中物理 来源:模拟题 题型:计算题

【选修3-5选做题】
如图所示,光滑水平面上有A、B两个滑块,两滑块由一轻质弹簧连接,已知滑块A的质量是滑块B质量的,子弹质量是滑块B质量的。若滑块A被水平速度为v0的子弹射中,且子弹嵌在物体A的中心,求:
(1)木块A的最大速度是多少?
(2)运动过程中,木块B的最大速度是多少?

查看答案和解析>>

科目:高中物理 来源:模拟题 题型:计算题

【选修3-5选做题】
如图所示,两个质量分别为M1、M2的劈A、B,高度相同。放在光滑水平面上,A、B的上表面为光滑曲面,曲面末端与地面相切。有一质量为m的物块(可视为质点)自劈A顶端自由下滑。劈顶端到地面距离h=0.06 m,劈A与物块的质量比s。求:
(1)物块离开A的瞬间A和物块的速度各为多少;(g=10 m/s2)
(2)物块从A上滑下后又冲上B,若要保证物块离开B后不能追上A,则B与物块的质量比应满足什么条件。

查看答案和解析>>

同步练习册答案