ÈçͼËùʾ£¬µç¶¯»ú´ø¶¯¹öÂÖ×÷ÄæÊ±ÕëÔÈËÙת¶¯£¬ÔÚ¹öÂÖµÄĦ²ÁÁ¦×÷ÓÃÏ£¬½«Ò»½ðÊô°å´ÓÐ±Ãæµ×¶ËAËÍÍùÉϲ¿£¬ÒÑÖªÐ±Ãæ¹â»¬ÇÒ×ã¹»³¤£¬Çã½Ç£¬¹öÂÖÓë½ðÊô°åµÄÇеãBµ½Ð±Ãæµ×¶ËAµÄ¾àÀëΪL£½6.5 m£¬µ±½ðÊô°åµÄ϶ËÔ˶¯µ½ÇеãB´¦Ê±£¬Á¢¼´ÌáÆð¹öÂÖʹËüÓë°åÍÑÀë½Ó´¥£®ÒÑÖª°åÖ®ºó·µ»ØÐ±Ãæµ×²¿Óëµ²°åÏàײºóÁ¢¼´¾²Ö¹£¬´Ëʱ·ÅϹöÂÖÔÙ´Îѹ½ô°å£¬Ôٴν«°å´Ó×îµ×¶ËËÍÍùÐ±ÃæÉϲ¿£¬Èç´ËÍù¸´£®ÒÑÖª°åµÄÖÊÁ¿Îªm£½1¡Á103 Kg£¬¹öÂÖ±ßÔµÏßËٶȺãΪv£½4 m/s£¬¹öÂÖ¶Ô°åµÄÕýѹÁ¦FN£½2¡Á104 N£¬¹öÂÖÓë°å¼äµÄ¶¯Ä¦²ÁÒòÊýΪ¦Ì£½0.35£¬È¡g£½10 m/s2£®

Çó£º(1)ÔÚ¹öÂÖ×÷ÓÃϰåÉÏÉýµÄ¼ÓËÙ¶È£»

(2)°å¼ÓËÙÖÁÓë¹öÂÖËÙ¶ÈÏàͬʱǰ½øµÄ¾àÀ룻

(3)ÿ¸öÖÜÆÚÖйöÂÖ¶Ô½ðÊô°åËù×öµÄ¹¦£»

(4)°åÍù¸´Ô˶¯µÄÖÜÆÚ£®

´ð°¸£º
½âÎö£º

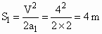
¡¡¡¡(1)(4·Ö)

¡¡¡¡

¡¡¡¡(2)(4·Ö)

¡¡¡¡¡¡¡à

¡¡¡¡(3)(4·Ö)

¡¡¡¡

¡¡¡¡(4)(4·Ö)

¡¡¡¡ÔÚ¹öÂÖ×÷ÓÃϼÓËÙÉÏÉý£º

¡¡¡¡ÔÚ¹öÂÖ×÷ÓÃÏÂÔÈËÙÉÏÉý

¡¡¡¡À뿪¹öÂÖºóÉÏÉý£ºÏòÏÂ

¡¡¡¡¡¡1.6 m

¡¡¡¡»¬Ï£ºS3£½l£«S2£½8.1 m¡¡

¡¡¡¡¡à


Á·Ï°²áϵÁдð°¸
Ïà¹ØÏ°Ìâ

¿ÆÄ¿£º¸ßÖÐÎïÀí À´Ô´£º ÌâÐÍ£º

ÈçͼËùʾ£¬µç¶¯»ú´ø¶¯¹öÂÖBÔÈËÙת¶¯£¬ÔÚ¹öÂÖµÄ×÷ÓÃÏ£¬½«½ðÊô¸Ë´Ó×îµ×¶ËAËÍÍùÇã½Ç¦È=30¡ãµÄ×ã¹»³¤Ð±ÃæÉϲ¿£®¹öÂÖÖÐÐÄBÓëÐ±Ãæµ×²¿AµÄ¾àÀëΪL=6.5m£¬µ±½ðÊô¸ËµÄ϶ËÔ˶¯µ½B´¦Ê±£¬¹öÂÖÌáÆð£¬Óë¸ËÍÑÀë½Ó´¥£®¸ËÓÉÓÚ×ÔÉíÖØÁ¦×÷ÓÃ×îÖջ᷵»ØÐ±Ãæµ×²¿£¬Óëµ²°åÏàײºó£¬Á¢¼´¾²Ö¹²»¶¯£®´Ëʱ¹öÂÖÔÙ´Îѹ½ô¸Ë£¬ÓÖ½«½ðÊô¸Ë´Ó×îµ×¶ËËÍÍùÐ±ÃæÉϲ¿£¬Èç´ËÖܶø¸´Ê¼£®ÒÑÖª¹öÂÖ±ßÔµÏßËٶȺãΪv=4m/s£¬¹öÂֶԸ˵ÄÕýѹÁ¦FN=2¡Á104N£¬¹öÂÖÓë¸Ë¼äµÄ¶¯Ä¦²ÁÒòÊýΪ¦Ì=0.35£¬¸ËµÄÖÊÁ¿Îªm=1¡Á103Kg£¬²»¼Æ¸ËÓëÐ±Ãæ¼äµÄĦ²Á£¬È¡g=10m/s2£®
Ç󣺣¨1£©ÔÚ¹öÂÖµÄ×÷ÓÃÏ£¬¸Ë¼ÓËÙÉÏÉýµÄ¼ÓËÙ¶È£»
£¨2£©¸Ë¼ÓËÙÉÏÉýÖÁÓë¹öÂÖËÙ¶ÈÏàͬʱǰ½øµÄ¾àÀ룻
£¨3£©¸Ë´Ó×îµÍ¶Ë¿ªÊ¼ÉÏÉýµ½Ôٴλص½×îµÍ¶Ë¾­ÀúµÄʱ¼ä£®

²é¿´´ð°¸ºÍ½âÎö>>

¿ÆÄ¿£º¸ßÖÐÎïÀí À´Ô´£º ÌâÐÍ£º

ÈçͼËùʾ£¬µç¶¯»ú´ø¶¯¹öÂÖBÔÈËÙת¶¯£¬ÔÚ¹öÂÖµÄ×÷ÓÃÏ£¬½«½ðÊô¸Ë´Ó×îµ×¶ËAËÍÍùÇã½Ç¦È=30¡ãµÄ×ã¹»³¤Ð±ÃæÉϲ¿£®¹öÂÖÖÐÐÄBÓëÐ±Ãæµ×²¿AµÄ¾àÀëΪL=6.5m£¬µ±½ðÊô¸ËµÄ϶ËÔ˶¯µ½B´¦Ê±£¬¹öÂÖÌáÆð£¬Óë¸ËÍÑÀë½Ó´¥£®¸ËÓÉÓÚ×ÔÉíÖØÁ¦×÷ÓÃ×îÖջ᷵»ØÐ±Ãæµ×²¿£¬Óëµ²°åÏàײºó£¬Á¢¼´¾²Ö¹²»¶¯£®´Ëʱ¹öÂÖÂíÉÏÔÙ´Îѹ½ô¸Ë£¬ÓÖ½«½ðÊô¸Ë´Ó×îµ×¶ËËÍÍùÐ±ÃæÉϲ¿£¬Èç´ËÖܶø¸´Ê¼£®ÒÑÖª¹öÂÖ±ßÔµÏßËٶȺãΪv=4m/s£¬¹öÂֶԸ˵ÄÕýѹÁ¦FN=2¡Á104N£¬¹öÂÖÓë¸Ë¼äµÄ¶¯Ä¦²ÁÒòÊýΪ¦Ì=0.45£¬¸ËµÄÖÊÁ¿Îªm=1¡Á103Kg£¬²»¼Æ¸ËÓëÐ±Ãæ¼äµÄĦ²Á£¬È¡g=10m/s2£®Çó£º
£¨1£©ÔÚ¹öÂÖµÄ×÷ÓÃÏ£¬¸Ë¼ÓËÙÉÏÉýµÄ¼ÓËÙ¶È£»
£¨2£©¸Ë¼ÓËÙÉÏÉýÖÁÓë¹öÂÖËÙ¶ÈÏàͬʱǰ½øµÄ¾àÀ룻
£¨3£©¸Ë´Ó×îµ×¶Ë¿ªÊ¼ÉÏÉýµ½Ôٴλص½×îµ×¶Ë¾­ÀúµÄʱ¼ä£®

²é¿´´ð°¸ºÍ½âÎö>>

¿ÆÄ¿£º¸ßÖÐÎïÀí À´Ô´£º ÌâÐÍ£º

ÈçͼËùʾ£¬µç¶¯»ú´ø¶¯¹öÂÖ×öÄæÊ±ÕëÔÈËÙת¶¯£¬ÔÚ¹öÂÖµÄĦ²ÁÁ¦×÷ÓÃÏ£¬½«Ò»½ðÊô°å´ÓÐ±Ãæµ×¶ËAËÍÍùÉϲ¿£¬ÒÑÖªÐ±Ãæ¹â»¬ÇÒ×ã¹»³¤£¬Çã½Ç¦È=30¡ã£¬¹öÂÖÓë½ðÊô°åµÄÇеãBµ½Ð±Ãæµ×¶ËAµÄ¾àÀëΪL=6.5m£¬µ±½ðÊô°åµÄ϶ËÔ˶¯µ½ÇеãB´¦Ê±£¬Á¢¼´ÌáÆð¹öÂÖʹËüÓë°åÍÑÀë½Ó´¥£®ÒÑÖª°åÖ®ºó·µ»ØÐ±Ãæµ×²¿Óëµ²°åÏàײºóÁ¢¼´¾²Ö¹£¬´Ëʱ·ÅϹöÂÖÔÙ´Îѹ½ô°å£¬Ôٴν«°å´Ó×îµ×¶ËËÍÍùÐ±ÃæÉϲ¿£¬Èç´ËÍù¸´£®ÒÑÖª°åµÄÖÊÁ¿Îªm=1¡Á103kg£¬¹öÂÖ±ßÔµÏßËٶȺãΪv=4m/s£¬¹öÂÖ¶Ô°åµÄÕýѹÁ¦FN=2¡Á104N£¬¹öÂÖÓë°å¼äµÄ¶¯Ä¦²ÁÒòÊýΪ¦Ì=0.35£¬È¡g=10m/s2£®Çó£º
£¨1£©ÔÚ¹öÂÖ×÷ÓÃϰåÉÏÉýµÄ¼ÓËÙ¶È£»
£¨2£©°å¼ÓËÙÖÁÓë¹öÂÖËÙ¶ÈÏàͬʱǰ½øµÄ¾àÀ룻
£¨3£©°åÍù¸´Ô˶¯µÄÖÜÆÚ£®

²é¿´´ð°¸ºÍ½âÎö>>

¿ÆÄ¿£º¸ßÖÐÎïÀí À´Ô´£º ÌâÐÍ£º

¾«Ó¢¼Ò½ÌÍøÈçͼËùʾ£¬µç¶¯»ú´ø¶¯¹öÂÖ×öÄæÊ±ÕëÔÈËÙת¶¯£¬ÔÚ¹öÂÖµÄĦ²ÁÁ¦×÷ÓÃÏ£¬½«Ò»½ðÊô°å´Ó¹â»¬Ð±Ãæµ×¶ËAËÍÍùÐ±ÃæÉ϶ˣ¬Çã½Ç×È=30¡ã£¬¹öÂÖÓë½ðÊô°åµÄÇеãBµ½Ð±Ãæµ×¶ËA¾àÀëL=6.5m£¬µ±½ðÊô°åµÄ϶ËÔ˶¯µ½ÇеãB´¦Ê±£¬Á¢¼´ÌáÆð¹öÂÖʹÆäÓë°åÍÑÀ룮ÒÑÖª°åµÄÖÊÁ¿m=1¡Á103kg£¬¹öÂÖ±ßÔµÏßËÙ¶Èv=4m/s£¬¹öÂÖ¶Ô°åµÄÕýѹÁ¦FN=2¡Á104N£¬¹öÂÖÓë½ðÊô°å¼äµÄ¶¯Ä¦²ÁÒòÊýΪ×Ì=0.35£¬È¡g=10m/s2£®Çó£º
£¨1£©ÔÚ¹öÂÖ×÷ÓÃϰåÉÏÉýµÄ¼ÓËÙ¶È£»
£¨2£©½ðÊô°åµÄµÍ¶Ë¾­¶à³¤Ê±¼äµ½´ï¹öÂÖµÄÇеãB´¦£»
£¨3£©½ðÊô°åÑØÐ±ÃæÉÏÉýµÄ×î´ó¾àÀ룮

²é¿´´ð°¸ºÍ½âÎö>>

¿ÆÄ¿£º¸ßÖÐÎïÀí À´Ô´£º2012½ì¶ÈÄþÏĸßÈýÔ¿¼ÎïÀí¾í ÌâÐÍ£º¼ÆËãÌâ

ÈçͼËùʾ£¬µç¶¯»ú´ø¶¯¹öÂÖ×öÄæÊ±ÕëÔÈËÙת¶¯£¬ÔÚ¹öÂÖµÄĦ²ÁÁ¦×÷ÓÃÏ£¬½«Ò»½ðÊô°å´ÓÐ±Ãæµ×¶ËAËÍÍùÉϲ¿£¬ÒÑÖªÐ±Ãæ¹â»¬ÇÒ×ã¹»³¤£¬Çã½Ç¦È£½30¡ã£¬¹öÂÖÓë½ðÊô°åµÄÇеãBµ½Ð±Ãæµ×¶ËAµÄ¾àÀëΪL£½6.5m£¬µ±½ðÊô°åµÄ϶ËÔ˶¯µ½ÇеãB´¦Ê±£¬Á¢¼´ÌáÆð¹öÂÖʹËüÓë°åÍÑÀë½Ó´¥£®ÒÑÖª°åÖ®ºó·µ»ØÐ±Ãæµ×²¿Óëµ²°åÏàײºóÁ¢¼´¾²Ö¹£¬´Ëʱ·ÅϹöÂÖÔÙ´Îѹ½ô°å£¬Ôٴν«°å´Ó×îµ×¶ËËÍÍùÐ±ÃæÉϲ¿£¬Èç´ËÍù¸´£®ÒÑÖª°åµÄÖÊÁ¿Îªm£½1¡Á103kg£¬¹öÂÖ±ßÔµÏßËٶȺãΪv£½4m/s£¬¹öÂÖ¶Ô°åµÄÕýѹÁ¦FN£½2¡Á104N£¬¹öÂÖÓë°å¼äµÄ¶¯Ä¦²ÁÒòÊýΪ¦Ì£½0.35£¬È¡g£½10m/s2.Çó£º

(1)ÔÚ¹öÂÖ×÷ÓÃϰåÉÏÉýµÄ¼ÓËÙ¶Èa£»

(2)°å¼ÓËÙÖÁÓë¹öÂÖËÙ¶ÈÏàͬʱǰ½øµÄ¾àÀëx£»

 (3)°åÍù¸´Ô˶¯µÄÖÜÆÚT£®[À´Ô´:Zxxk.Com]

 

²é¿´´ð°¸ºÍ½âÎö>>

ͬ²½Á·Ï°²á´ð°¸