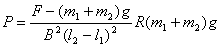
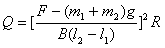
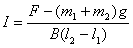
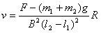
ͼÖÐa1b1c1d1ºÍa2b2c2d2ΪÔÚͬһÊúÖ±ÃæÄڵĽðÊôµ¼¹ì£¬´¦ÔڴŸÐӦǿ¶ÈΪBµÄÔÈÇ¿´Å³¡ÖУ¬´Å³¡·½Ïò´¹Ö±µ¼¹ìËùÔ򵀮½Ãæ(Ö½Ãæ)ÏòÀï¡£µ¼¹ìµÄa1b1¶ÎÓëa2b2¶ÎÊÇÊúÖ±µÄ£¬¾àÀëΪl1£»c1d1¶ÎÓëc2d2¶ÎÒ²ÊÇÊúÖ±µÄ£¬¾àÀëΪl2¡£x1y1Óëx2y2ΪÁ½¸ùÓò»¿ÉÉ쳤µÄ¾øÔµÇáÏßÏàÁ¬µÄ½ðÊôϸ¸Ë£¬ÖÊÁ¿·Ö±ðΪm1ºÍm2£¬ËüÃǶ¼´¹Ö±ÓÚµ¼¹ì²¢Óëµ¼¹ì±£³Ö¹â»¬½Ó´¥¡£Á½¸ËÓëµ¼¹ì¹¹³ÉµÄ»ØÂ·µÄ×ܵç×èΪR¡£FΪ×÷ÓÃÓÚ½ðÊô¸Ëx1y1ÉϵÄÊúÖ±ÏòÉϵĺãÁ¦¡£ÒÑÖªÁ½¸ËÔ˶¯µ½Í¼Ê¾Î»ÖÃʱ£¬ÒÑÔÈËÙÏòÉÏÔ˶¯£¬Çó´Ëʱ×÷ÓÃÓÚÁ½¸ËµÄÖØÁ¦µÄ¹¦ÂʵĴóСºÍ»ØÂ·µç×èÉϵÄÈȹ¦ÂÊ¡£
½â£ºÉè¸ËÏòÉÏÔ˶¯µÄËÙ¶ÈΪv£¬Òò¸ËµÄÔ˶¯£¬Á½¸ËÓëµ¼¹ì¹¹³ÉµÄ»ØÂ·µÄÃæ»ý¼õÉÙ£¬´Ó¶ø´ÅͨÁ¿Ò²¼õÉÙ¡£ÓÉ·¨À­µÚµç´Å¸ÐÓ¦¶¨ÂÉ£¬»ØÂ·ÖеĸÐÓ¦µç¶¯ÊƵĴóС ¢Ù
»ØÂ·ÖеĵçÁ÷ ¢Ú£¬µçÁ÷ÑØË³Ê±Õë·½Ïò
Á½½ðÊô¸Ë¶¼ÒªÊܵ½°²ÅàÁ¦×÷Óã¬×÷ÓÃÓÚ¸Ëx1y1µÄ°²ÅàÁ¦Îª ¢Û£¬·½ÏòÏòÉÏ
×÷ÓÃÓÚ¸Ëx2y2µÄ°²ÅàÁ¦ ¢Ü£¬·½ÏòÏòÏÂ
µ±¸Ë×÷ΪÔÈËÙÔ˶¯Ê±£¬¸ù¾ÝÅ£¶ÙµÚ¶þ¶¨ÂÉÓÐ ¢Ý
½âÒÔÉϸ÷ʽ£¬µÃ ¢Þ£¬ ¢ß
×÷ÓÃÓÚÁ½¸ËµÄÖØÁ¦µÄ¹¦ÂʵĴóС ¢à
µç×èÉϵÄÈȹ¦ÂÊ ¢á
ÓÉ¢Þ¡¢¢ß¡¢¢à¡¢¢áʽ£¬¿ÉµÃ£¬
Á·Ï°²áϵÁдð°¸
Ïà¹ØÏ°Ìâ

¿ÆÄ¿£º¸ßÖÐÎïÀí À´Ô´£º ÌâÐÍ£º

£¨2004?½­Î÷£©Í¼ÖÐa1b1c1d1ºÍa2b2c2d2ΪÔÚͬһÊúÖ±ÃæÄڵĽðÊôµ¼¹ì£¬´¦ÔڴŸÐӦǿ¶ÈΪBµÄÔÈÇ¿´Å³¡ÖУ¬´Å³¡·½Ïò´¹Ö±µ¼¹ìËùÔ򵀮½Ãæ£¨Ö½Ãæ£©ÏòÀµ¼¹ìµÄa1b1¶ÎÓëa2b2¶ÎÊÇÊúÖ±µÄ£¬¾àÀëΪl1£»c1d1¶ÎÓëc2d2¶ÎÒ²ÊÇÊúÖ±µÄ£¬¾àÀëΪl2£®x1y1Óëx2y2ΪÁ½¸ùÓò»¿ÉÉ쳤µÄ¾øÔµÇáÏßÏàÁ¬µÄ½ðÊôϸ¸Ë£¬ÖÊÁ¿·Ö±ðΪm1ºÍm2£¬ËüÃǶ¼´¹Ö±ÓÚµ¼¹ì²¢Óëµ¼¹ì±£³Ö¹â»¬½Ó´¥£®Á½¸ËÓëµ¼¹ì¹¹³ÉµÄ»ØÂ·µÄ×ܵç×èΪR£®FΪ×÷ÓÃÓÚ½ðÊô¸Ëx1y1ÉϵÄÊúÖ±ÏòÉϵĺãÁ¦£®ÒÑÖªÁ½¸ËÔ˶¯µ½Í¼Ê¾Î»ÖÃʱ£¬ÒÑÔÈËÙÏòÉÏÔ˶¯£¬Çó´Ëʱ×÷ÓÃÓÚÁ½¸ËµÄÖØÁ¦µÄ¹¦ÂʵĴóСºÍ»ØÂ·µç×èÉϵÄÈȹ¦ÂÊ£®

²é¿´´ð°¸ºÍ½âÎö>>

¿ÆÄ¿£º¸ßÖÐÎïÀí À´Ô´£º ÌâÐÍ£º

£¨04ÄêÈ«¹ú¾í¢ñ£©(18·Ö)ͼÖÐa1b1c1d1ºÍa2b2c2d2ΪÔÚͬһÊúÖ±ÃæÄڵĽðÊôµ¼¹ì£¬´¦ÔڴŸÐӦǿ¶ÈΪBµÄÔÈÇ¿´Å³¡ÖУ¬´Å³¡·½Ïò´¹Ö±µ¼¹ìËùÔ򵀮½Ãæ(Ö½Ãæ)ÏòÀï¡£µ¼¹ìµÄa1b1¶ÎÓëa2b2¶ÎÊÇÊúÖ±µÄ£¬¾àÀëΪl1£»c1d1¶ÎÓëc2d2¶ÎÒ²ÊÇÊúÖ±µÄ£¬¾àÀëΪl2¡£x1y1Óëx2y2ΪÁ½¸ùÓò»¿ÉÉ쳤µÄ¾øÔµÇáÏßÏàÁ¬µÄ½ðÊôϸ¸Ë£¬ÖÊÁ¿·Ö±ðΪm1ºÍm2£¬ËüÃǶ¼´¹Ö±ÓÚµ¼¹ì²¢Óëµ¼¹ì±£³Ö¹â»¬½Ó´¥¡£Á½¸ËÓëµ¼¹ì¹¹³ÉµÄ»ØÂ·µÄ×ܵç×èΪR¡£FΪ×÷ÓÃÓÚ½ðÊô¸Ëx1y1ÉϵÄÊúÖ±ÏòÉϵĺãÁ¦¡£ÒÑÖªÁ½¸ËÔ˶¯µ½Í¼Ê¾Î»ÖÃʱ£¬ÒÑÔÈËÙÏòÉÏÔ˶¯£¬Çó´Ëʱ×÷ÓÃÓÚÁ½¸ËµÄÖØÁ¦µÄ¹¦ÂʵĴóСºÍ»ØÂ·µç×èÉϵÄÈȹ¦ÂÊ¡£

²é¿´´ð°¸ºÍ½âÎö>>

¿ÆÄ¿£º¸ßÖÐÎïÀí À´Ô´£º ÌâÐÍ£º

ͼÖÐa1b1c1d1ºÍa2b2c2d2ΪÔÚͬһÊúÖ±ÃæÄڵĽðÊôµ¼¹ì£¬´¦ÔڴŸÐӦǿ¶ÈΪBµÄÔÈÇ¿´Å³¡ÖУ¬´Å³¡·½Ïò´¹Ö±µ¼¹ìËùÔ򵀮½Ãæ(Ö½Ãæ)ÏòÀï¡£µ¼¹ìµÄa1b1¶ÎÓëa2b2¶ÎÊÇÊúÖ±µÄ£¬¾àÀëΪl1£»c1d1¶ÎÓëc2d2¶ÎÒ²ÊÇÊúÖ±µÄ£¬¾àÀëΪl2¡£x1y1Óëx2y2ΪÁ½¸ùÓò»¿ÉÉ쳤µÄ¾øÔµÇáÏßÏàÁ¬µÄ½ðÊôϸ¸Ë£¬ÖÊÁ¿·Ö±ðΪm1ºÍm2£¬ËüÃǶ¼´¹Ö±ÓÚµ¼¹ì²¢Óëµ¼¹ì±£³Ö¹â»¬½Ó´¥¡£Á½¸ËÓëµ¼¹ì¹¹³ÉµÄ»ØÂ·µÄ×ܵç×èΪR¡£FΪ×÷ÓÃÓÚ½ðÊô¸Ëx1y1ÉϵÄÊúÖ±ÏòÉϵĺãÁ¦¡£ÒÑÖªÁ½¸ËÔ˶¯µ½Í¼Ê¾Î»ÖÃʱ£¬ÒÑÔÈËÙÏòÉÏÔ˶¯£¬Çó´Ëʱ×÷ÓÃÓÚÁ½¸ËµÄÖØÁ¦µÄ¹¦ÂʵĴóСºÍ»ØÂ·µç×èÉϵÄÈȹ¦ÂÊ¡£

²é¿´´ð°¸ºÍ½âÎö>>

¿ÆÄ¿£º¸ßÖÐÎïÀí À´Ô´£º ÌâÐÍ£º

ͼÖÐa1b1c1d1ºÍa2b2c2d2ΪÔÚͬһÊúÖ±ÃæÄڵĽðÊôµ¼¹ì£¬´¦ÔڴŸÐӦǿ¶ÈΪBµÄÔÈÇ¿´Å³¡ÖУ¬´Å³¡·½Ïò´¹Ö±µ¼¹ìËùÔ򵀮½Ãæ£¨Ö½Ãæ£©ÏòÀï.µ¼¹ìµÄa1b1¶ÎÓëa2b2¶ÎÊÇÊúÖ±µÄ£¬¾àÀëΪl1£»c1d1¶ÎÓëc2d2¶ÎÒ²ÊÇÊúÖ±µÄ£¬¾àÀëΪl2.x1y1Óëx2y2ΪÁ½¸ùÓò»¿ÉÉ쳤µÄ¾øÔµÇáÏßÏàÁ¬µÄ½ðÊôϸ¸Ë£¬ÖÊÁ¿·Ö±ðΪm1ºÍm2£¬ËüÃǶ¼´¹Ö±ÓÚµ¼¹ì²¢Óëµ¼¹ì±£³Ö¹â»¬½Ó´¥.Á½¸ËÓëµ¼¹ì¹¹³ÉµÄ»ØÂ·µÄ×ܵç×èΪR.FΪ×÷ÓÃÓÚ½ðÊô¸Ëx1y1ÉϵÄÊúÖ±ÏòÉϵĺãÁ¦.ÒÑÖªÁ½¸ËÔ˶¯µ½Í¼Ê¾Î»ÖÃʱ£¬ÒÑÔÈËÙÏòÉÏÔ˶¯£¬Çó´Ëʱ×÷ÓÃÓÚÁ½¸ËµÄÖØÁ¦µÄ¹¦ÂʵĴóСºÍ»ØÂ·µç×èÉϵÄÈȹ¦ÂÊ.

 

²é¿´´ð°¸ºÍ½âÎö>>

¿ÆÄ¿£º¸ßÖÐÎïÀí À´Ô´£º2004ÄêÈ«¹úͳһ¸ß¿¼ÎïÀíÊÔ¾í£¨¸£½¨¡¢Õã½­¡¢½­Î÷µÈ£©£¨½âÎö°æ£© ÌâÐÍ£º½â´ðÌâ

ͼÖÐa1b1c1d1ºÍa2b2c2d2ΪÔÚͬһÊúÖ±ÃæÄڵĽðÊôµ¼¹ì£¬´¦ÔڴŸÐӦǿ¶ÈΪBµÄÔÈÇ¿´Å³¡ÖУ¬´Å³¡·½Ïò´¹Ö±µ¼¹ìËùÔ򵀮½Ãæ£¨Ö½Ãæ£©ÏòÀµ¼¹ìµÄa1b1¶ÎÓëa2b2¶ÎÊÇÊúÖ±µÄ£¬¾àÀëΪl1£»c1d1¶ÎÓëc2d2¶ÎÒ²ÊÇÊúÖ±µÄ£¬¾àÀëΪl2£®x1y1Óëx2y2ΪÁ½¸ùÓò»¿ÉÉ쳤µÄ¾øÔµÇáÏßÏàÁ¬µÄ½ðÊôϸ¸Ë£¬ÖÊÁ¿·Ö±ðΪm1ºÍm2£¬ËüÃǶ¼´¹Ö±ÓÚµ¼¹ì²¢Óëµ¼¹ì±£³Ö¹â»¬½Ó´¥£®Á½¸ËÓëµ¼¹ì¹¹³ÉµÄ»ØÂ·µÄ×ܵç×èΪR£®FΪ×÷ÓÃÓÚ½ðÊô¸Ëx1y1ÉϵÄÊúÖ±ÏòÉϵĺãÁ¦£®ÒÑÖªÁ½¸ËÔ˶¯µ½Í¼Ê¾Î»ÖÃʱ£¬ÒÑÔÈËÙÏòÉÏÔ˶¯£¬Çó´Ëʱ×÷ÓÃÓÚÁ½¸ËµÄÖØÁ¦µÄ¹¦ÂʵĴóСºÍ»ØÂ·µç×èÉϵÄÈȹ¦ÂÊ£®

²é¿´´ð°¸ºÍ½âÎö>>

ͬ²½Á·Ï°²á´ð°¸