精英家教网 > 高中物理 > 题目详情

一个做自由落体运动的物体,在最后1 s内通过的路程是整个过程通过路程的一半,求它下落的时间和开始下落的高度.(g10 m/s2)

答案:
解析:

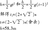
  讲析:自由落体运动就是初速度为零、加速度为g的匀加速直线运动.由题意知,若设此物体做自由落体运动的全程所用时间为t,则t1内下落的高度是整个下落高度的一半.

  设整个下落高度为h,根据自由落体运动的规律可得

  

  点评:解自由落体运动的问题,关键是分清运动过程和运动性质,采用正确的规律求解.


练习册系列答案
相关习题

科目:高中物理 来源: 题型:

一个做自由落体运动的小球,通过某一段距离s所用的时间为t,则小球在此前下落时间是(  )

查看答案和解析>>

科目:高中物理 来源: 题型:

在一个做自由落体运动的密闭电梯内,有一人同时相对电梯由静止释放一只铅球和一只氢气球,则电梯内的人将会看到(  )

查看答案和解析>>

科目:高中物理 来源: 题型:

一个做自由落体运动的物体在1s内、2s内、3s内下落的高度之比是:
1:4:9
1:4:9
;在第1s内、第2s内、第3s内的平均速度之比是:
1:3:5
1:3:5

查看答案和解析>>

科目:高中物理 来源: 题型:

一个做自由落体运动的物体,速度v随时间t变化的图象如图所示,正确的是(  )

查看答案和解析>>

科目:高中物理 来源: 题型:

一个做自由落体运动的物体经过t秒落到地面,以下说法中正确的是(  )
A、下落全程一半时的速度与落地速度之比是1:2
B、下落t/3和落地前t/3时间内的位移之比为1:5
C、下落前半程与后半程的平均速度之比为1:1
D、下落前半程与后半程的平均速度之比为
2
:1

查看答案和解析>>

同步练习册答案