精英家教网 > 高中物理 > 题目详情
如图所示,匀强磁场,方向竖直向下,正方形线框每边长为0.4m,总电阻为0.16Ω。ad、dc、cb三边为细金属线,质量可忽略。其中dc边固定不动,ab边质量为100g,将线框拉至水平后释放,ab边经0.4s到达最低位置,ab边达最低位置时速度为2m/s,求:
(1)求此过程中产生的热量;
(2)若通以直流电要达到同样的热效应,则电流多大?
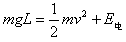
解:(1)线框以dc边为轴从水平位置转到竖直位置的过程中,能量发生了转化,ab边的重力势能一部分转化为动能,另一部分由于线圈中磁通量的变化转变为电能,根据能量守恒:



(2)
练习册系列答案
相关习题

科目:高中物理 来源: 题型:

如图所示的匀强磁场中,有一直导线ab在一个导体框架上向左运动,那么ab导线中感应电流方向(有感应电流)及ab导线所受安培力方向分别是(  )

查看答案和解析>>

科目:高中物理 来源: 题型:

一平面线圈用绝缘细杆悬于P点,开始时细杆处于水平位置,释放后让它在如图所示的匀强磁场中运动.已知线圈平面始终与纸面垂直,当线圈第一次通过位置Ⅰ和位置Ⅱ时,逆着磁场的方向看去,线圈中感应电流的方向分别为(  )

查看答案和解析>>

科目:高中物理 来源: 题型:

(2012?长宁区一模)如图所示,匀强磁场磁感应强度 B=0.2T,磁场宽度 L=0.3m,一正方形金属框边长 ab=0.1m,每边电阻R=0.2Ω,金属框在拉力F作用下以v=10m/s的速度匀速穿过磁场区,其平面始终保持与磁感线方向垂直.求:
(1)画出金属框穿过磁场区的过程中,金属框内感应电流i和a、b两端电压Uab随时间t的变化图线(规定以adcba为正方向);
(2)金属框穿过磁场区域的过程中,拉力F做的功;
(3)金属框穿过磁场区域的过程中,导线ab上所产生的热量.

查看答案和解析>>

科目:高中物理 来源: 题型:

如图所示,匀强磁场的磁感应强度为0.4T,通电直导线与磁场方向垂直,导线长度为0.5m,导线中电流为2A.该导线所受安培力的大小是(  )

查看答案和解析>>

科目:高中物理 来源: 题型:

精英家教网如图所示,匀强磁场区域宽度为l,现有一边长为d(d>l)的矩形金属框以恒定速度v向右通过磁场区域,该过程金属框中有感应电流的时间总共为(  )

查看答案和解析>>

同步练习册答案