精英家教网 > 高中物理 > 题目详情
一物体做自由落体运动,在第n 秒内通过的位移比在前一秒内通过的位移多( )
A.9.8m
B.4.9(2n+1)m
C.0
D.
【答案】分析:根据自由落体运动位移与时间的关系即可求解.
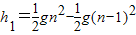
解答:解:根据自由落体运动位移与时间的关系得:
第n 秒内通过的位移为
第n-1秒内通过的位移为
△h=h1-h2=9.8m
故选A.
点评:本题主要考查了自由落体运动位移与时间的公式,难度不大,属于基础题.
练习册系列答案
相关习题

科目:高中物理 来源: 题型:

一物体做自由落体运动,自由下落L时,速度为v,当物体自由下落的速度速度达到
1
2
v
时,它下落的长度是(  )

查看答案和解析>>

科目:高中物理 来源: 题型:

一物体做自由落体运动,在第1s内和第2s内,重力对该物体做的功之比和在第1s末和第2s末重力做功的瞬时功率之比分别为(  )

查看答案和解析>>

科目:高中物理 来源: 题型:

一物体做自由落体运动,落地时的速度为30m/s,则它下落的高度是
45
45
m.它在前2秒内的平均速度为
10
10
m/s,它在最后1s内下落的高度是
25
25
m.(g取10m/s2

查看答案和解析>>

科目:高中物理 来源: 题型:

一物体做自由落体运动,求物体在下落后的4s内的位移和第4s内的位移(g=10m/s2

查看答案和解析>>

科目:高中物理 来源: 题型:

一物体做自由落体运动,取g=10m/s2,1s末物体的速度为(  )
A、20m/sB、15m/sC、10m/sD、5m/s

查看答案和解析>>

同步练习册答案