精英家教网 > 高中物理 > 题目详情

在半径为R的半圆形区域中有一匀强磁场,磁场的方向垂直于纸面,磁感应强度为B。一质量为m,带有电量q的粒子以一定的速度沿垂直于半圆直径AD方向经P点(AP=d)射入磁场(不计重力影响)。

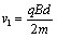
    ⑴如果粒子恰好从A点射出磁场,求入射粒子的速度。

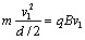
⑵如果粒子经纸面内Q点从磁场中射出,出射方向与半圆在Q点切线方向的夹角为φ(如图)。求入射粒子的速度。

⑴由于粒子在P点垂直射入磁场,故圆弧轨道的圆心在AP上,AP是直径。

      设入射粒子的速度为v1,由洛伦兹力的表达式和牛顿第二定律得:

                    

              解得:

⑵设O/是粒子在磁场中圆弧轨道的圆心,连接O/Q,设O/Q=R/

  由几何关系得:  

                  

      由余弦定理得:

              解得:

      设入射粒子的速度为v,由

              解出:

练习册系列答案
相关习题

科目:高中物理 来源: 题型:

(2007?宁夏)在半径为R的半圆形区域中有一匀强磁场,磁场的方向垂直于纸面,磁感应强度为B.一质量为m,带有电量q的粒子以一定的速度沿垂直于半圆直径AD方向经P点(AP=d)射入磁场(不计重力影响).
(1)如果粒子恰好从A点射出磁场,求入射粒子的速度.
(2)如果粒子经纸面内Q点从磁场中射出,出射方向与半圆在Q点切线方向的夹角为φ(如图).求入射粒子的速度.

查看答案和解析>>

科目:高中物理 来源: 题型:

(07年宁夏卷)(15分)在半径为R的半圆形区域中有一匀强磁场,磁场的方向垂直于纸面,磁感应强度为B。一质量为m,带有电量q的粒子以一定的速度沿垂直于半圆直径AD方向经P点(APd)射入磁场(不计重力影响)。

       (1)如果粒子恰好从A点射出磁场,求入射粒子的速度。

(2)如果粒子经纸面内Q点从磁场中射出,出射方向与半圆在Q点切线方向的夹角为φ(如图)。求入射粒子的速度。

 

查看答案和解析>>

科目:高中物理 来源: 题型:

(07年宁夏卷)(15分)在半径为R的半圆形区域中有一匀强磁场,磁场的方向垂直于纸面,磁感应强度为B。一质量为m,带有电量q的粒子以一定的速度沿垂直于半圆直径AD方向经P点(APd)射入磁场(不计重力影响)。

       (1)如果粒子恰好从A点射出磁场,求入射粒子的速度。

(2)如果粒子经纸面内Q点从磁场中射出,出射方向与半圆在Q点切线方向的夹角为φ(如图)。求入射粒子的速度。

查看答案和解析>>

科目:高中物理 来源: 题型:

在半径为R的半圆形区域中有一匀强磁场,磁场的方向垂直于纸面,磁感应强度为B。一质量为m,带有电量q的粒子以一定的速度沿垂直于半圆直径AD方向经P点(APd)射入磁场(不计重力影响)。⑴如果粒子恰好从A点射出磁场,求入射粒子的速度。

⑵如果粒子经纸面内Q点从磁场中射出,出射方向与半圆在Q点切线方向的夹角为φ(如图)。求入射粒子的速度。

查看答案和解析>>

科目:高中物理 来源:2007年普通高等学校招生统一考试理综物理部分(宁夏卷) 题型:计算题

(17分)在半径为R的半圆形区域中有一匀强磁场,磁场的方向垂直于纸面,磁感应强度为B。一质量为m,带有电量q的粒子以一定的速度沿垂直于半圆直径AD方向经P点(AP=d)射入磁场(不计重力影响)。

(1)如果粒子恰好从A点射出磁场,求入射粒子的速度。
(2)如果粒子经纸面内Q点从磁场中射出,出射方向与半圆在Q点切线的夹角为φ(如图)。求入射粒子的速度。

查看答案和解析>>

同步练习册答案