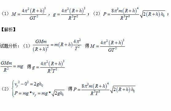
“嫦娥一号”卫星开始绕地球在椭圆轨道运动,经过变轨、制动后,成为一颗绕月球做圆周运动的卫星。设卫星距月球表面的高度为h ,做匀速圆周运动的周期为T 。已知月球半径为R ,引力常量为G。求:
(1)月球的质量M及月球表面的重力加速度g;
(2)在距月球表面高度为h0的地方(
),将一质量为m的小球以v0的初速度水平抛出,求落地瞬间月球引力对小球做功的瞬时功率P。
科目:高中物理 来源:2015-2016学年广东湛江雷州市高二月考物理卷(解析版) 题型:实验题
用如图甲所示的电路图研究灯泡L(2.4V,1.0W)的伏安特性,并测出该灯泡在额定电压下正常工作时的电阻值,检验其标示的准确性.
![]()
(1)在闭合开关S前,滑动变阻器触头应放在 端.(选填“a”或“b”)
(2)根据电路图,请在图乙中以笔划线代替导线将实物图补充完整.
(3)实验后作出的U﹣I图象如图丙所示,图中曲线弯曲的主要原因是: .
(4)根据所得到的图象如图丙所示,求出它在额定电压(2.4V)下工作时的电阻值R= Ω,这个测量值比真实值偏 .(选填“大”或“小”)
查看答案和解析>>
科目:高中物理 来源:2016届湖南株洲二中高三上第一次月考物理卷(解析版) 题型:计算题
一重量为G的圆柱体工件放在“V型”槽中,槽顶角α=60°,槽与工件接触处的动摩擦因数处处相同且大小为
,则:
![]()
(1)要沿圆柱体的轴线方向(如图)水平地把工件从槽中拉出来,人要施加多大的拉力?
(2)现把整个装置倾斜,使圆柱体的轴线与水平方向成37°,且保证圆柱体对V型槽两侧面的压力大小相等,发现圆柱体能自动沿槽下滑,求此时工件和槽之间的摩擦力大小。
查看答案和解析>>
科目:高中物理 来源:2016届贵州遵义航天中学高三模拟考试物理卷(解析版) 题型:选择题
最近两年以来,地震在世界各地频频出现,让人感觉地球正处于很“活跃”的时期.地震波既有横波,也有纵波,若我国地震局截获了一列沿x轴正方向传播的地震横波,在t(图中实线)与(t+0.4) s(图中虚线)两个时刻x轴上-3~3 km区间内的波形图如图所示,则下列说法正确的是 (填正确答案标号。选对1个给3分,选对2个给4分,选对3个给6分,每选错1个扣3分,最低得分为0分)。
![]()
A.该地震波的波长为3 km
B.质点振动的最大周期为0.8 s
C.该地震波最小波速为5 km/s
D.从t时刻开始计时,x=2 km处的质点比x=2.5 km处的质点先回到平衡位置
E.从t时刻开始计时,x=2 km处的质点比x=2.5 km处的质点后回到平衡位置
查看答案和解析>>
科目:高中物理 来源:2016届贵州遵义航天中学高三模拟考试物理卷(解析版) 题型:选择题
伽利略创造的把实验、假设和逻辑推理相结合的科学方法,有力地促进了人类科学认识的发展。利用如图所示的装置做如下实验:小球从左侧斜面上的O点由静止释放后沿斜面向下运动,并沿右侧斜面上升。斜面上先后铺垫三种粗糙程度逐渐减低的材料时,小球沿右侧斜面上升到的最高位置依次为1、2、3。根据三次实验结果的对比,可以得到的最直接的结论是( )
![]()
A.如果斜面光滑,小球将上升到与O点等高的位置
B.如果小球不受力,它将一直保持匀速运动或静止状态
C.如果小球受到力的作用,它的运动状态将发生改变
D.小球受到的力一定时,质量越大,它的加速度越小
查看答案和解析>>
科目:高中物理 来源:2016届甘肃省高三12月月考物理卷(解析版) 题型:选择题
如图所示,水平细杆上套一环A,环A与球B间用一轻绳相连,质量分别为mA、mB,由于球B受到水平风力作用,环A与球B一起向右匀速运动。已知细绳与竖直方向的夹角为θ,则下列说法正确的是( )
![]()
A.风力缓慢增大时,杆对A的作用力增大
B.球B受到的风力F为mBgsinθ
C.杆对环A的支持力随着风力的增加而增加
D.环A与水平细杆间的动摩擦因数为![]()
查看答案和解析>>
科目:高中物理 来源:2015-2016学年黑龙江哈尔滨六中高二上期中物理卷(解析版) 题型:选择题
如图所示,光滑绝缘水平面上有三个带电小球a、b、c(均可视为点电荷),沿同一直线排列且均处于静止状态,则以下判断正确的是( )
![]()
A.a对b的静电力一定是引力
B.a对b的静电力可能是斥力
C.a的电荷量可能比b的少
D.a的电荷量一定比b的多
查看答案和解析>>
科目:高中物理 来源:2015-2016学年河北衡水冀州中学高一上学期月考物理卷(解析版) 题型:选择题
如图所示,轻质光滑小滑轮两侧用细绳连着两个物体A和B,物体B放在水 平地面上,A.B均静止。已知A和B的质量分别为ma,mb, B与地面间动摩擦因数为u,绳与水平方向的夹角为0=30° ,则 ( )
![]()
A.物体B对地面的压力不可能为零
B.物体B受到的摩擦力为u(mbg-magsinθ)
C.物体B受到的摩擦力为magcosθ
D.天花板通过斜绳对小滑轮的拉力大于mag
查看答案和解析>>
科目:高中物理 来源:2015-2016学年福建厦门一中高二上期期中物理卷(解析版) 题型:填空题
放射源中有三种不同的粒子,其中一种不带电,另两种分别带正负电荷,置于磁场中,相成如图三条轨迹,则带正电的粒子的轨迹是______,不带电的粒子的轨迹是______。
![]()
查看答案和解析>>
湖北省互联网违法和不良信息举报平台 | 网上有害信息举报专区 | 电信诈骗举报专区 | 涉历史虚无主义有害信息举报专区 | 涉企侵权举报专区
违法和不良信息举报电话:027-86699610 举报邮箱:58377363@163.com