精英家教网 > 高中物理 > 题目详情
质量为m的钢板与直立弹簧的上端连接,弹簧下端固定在地上,平衡时,弹簧的压缩量为x0,如图所示,一物块从钢板正上方距离为3x0的A处自由落下,打在钢板上并立刻与钢板一起向下运动,但不粘连,它们到达最低点后又向上运动。已知物块质量也为m时,它们恰能回到O点,若物块质量为2m,仍从A处自由落下,则物块与钢板回到O点时,还具有向上的速度,求物块向上运动到达的最高点与O点的距离。
解:物块与钢板碰撞时的速度为v0,由机械能守恒得
设v1表示质量为m的物块与钢板碰撞后一起开始向下运动的速度,因碰撞时间极短,动量守恒,则有mv0=2mv1
刚碰完时弹簧的弹性势能为Ep,当它们一起回到O点时,弹簧无形变,弹性势能为零。根据题给条件,这时物块与钢板的速度为零,由机械能守恒
设v2表示质量为2m的物块与钢板碰撞后开始一起向下运动的速度,则有2mv0=3mv2
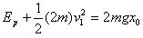
刚碰完时弹簧的弹性势能为Ep',它们回到O点时,弹性势能为零,但它们仍继续向上运动,设此时速度为v,则有Ep'+
在以上两种情况中,弹簧的初始压缩量都是x0,故有Ep'=Ep
当质量为2m的物块与钢板一起回到O点时,弹簧的弹力为零,物块与钢板只受到重力作用,加速度为g。一过O点,钢板受到弹簧向下的拉力作用,加速度大于g。由于物块与钢板不粘连,物块不可能受到钢板的拉力,其加速度仍为g。故在O点物块与钢板分离,分离后,物块以速度v竖直上抛,则由以上各式解得,物块向上运动所到最高点与O点的距离为
练习册系列答案
相关习题

科目:高中物理 来源: 题型:

质量为m的钢板与直立轻弹簧的上端连接,弹簧下端固定在地上.平衡时,弹簧的压缩量为X0,如图所示.物块从钢板正对距离为3X0的A处自由落下,打在钢板上并立刻与钢板一起向下运动,但不粘连,它们到达最低点后又向上运动.已知物体质量也为m时,它们恰能回到O点,求:
(1)物块与钢板碰后的速度v;
(2)弹簧被压缩X0时的弹性势能Ep
(3)若物块质量为2m,仍从A处自由落下,则物块与钢板回到O点时,还具有向上的速度,物块向上运动到最高点与O点的距离.

查看答案和解析>>

科目:高中物理 来源: 题型:

质量为m的钢板与直立轻弹簧的上端连接,弹簧下端固定在地上,平衡时,弹簧的压缩量为x0,如图所示,一物块从钢板正上方距离为3x0的A处自由落下,打在钢板上并立刻与钢板一起向下运动,但不粘连,它们到达最低点后又向上运动,已知物块质量也为m时,它们恰能回到O点,若物块质量为2m,仍从A处自由落下,则物块与钢板回到O点时,还具有向上的速度,求物块向上运动到达最高点O点的距离.

查看答案和解析>>

科目:高中物理 来源: 题型:

质量为m的钢板与直立轻弹簧的上端连接,弹簧下端固定在地上.平衡时,弹簧的压缩量为x0,如图所示.一物块从钢板正上方距离为3x0的A处自由落下,打在钢板上并立刻与钢板一起向下运动,但不黏连.它们到达最低点后又向上运动.已知物块质量也为m时,它们恰能回到O点.若物块质量为2m,仍从A处自由落下,则物块与钢板回到O点时,还具有向上的速度.求物块向上运动到达的最高点与O点的距离.

查看答案和解析>>

科目:高中物理 来源: 题型:

质量为m的钢板与直立轻弹簧的上端连接,弹簧下端固定在地上.平衡时,弹簧的压缩量为x0,如图所示.一物块从钢板正上方距离为3x0的A处自由落下,打在钢板上并立刻与钢板一起向下运动,但不粘连.它们到达最低点后又向上运动.已知物块质量也为m时,它们恰能回到O点.若物块质量为2m,仍从A处自由落下,则物块与钢板回到O点时,还具有向上的速度.求物块向上运动到达的最高点与O点的距离?

查看答案和解析>>

科目:高中物理 来源: 题型:

质量为m的钢板与直立轻弹簧的上端连接,弹簧下端固定在地上.平衡时,弹簧的压缩量为x0,如图所示.一物块从钢板正上方距离为3x0的A处自由落下,打在钢板上并立刻与钢板一起向下运动,但不粘连.它们到达最低点后又向上运动.已知物块质量也为m时,它们恰能回到O点.若物块质量为2m,仍从A处自由落下,则物块与钢板回到O点时,还具有向上的速度.求物块向上运动到达的最高点与O点的距离?

 

 

查看答案和解析>>

同步练习册答案