º½Ä£ÐËȤС×éÉè¼Æ³öÒ»¼ÜÒ£¿Ø·ÉÐÐÆ÷£¬ÆäÖÊÁ¿m£½2kg£¬¶¯Á¦ÏµÍ³ÌṩµÄºã¶¨ÉýÁ¦F £½28N¡£ÊÔ·Éʱ£¬·ÉÐÐÆ÷´ÓµØÃæÓɾ²Ö¹¿ªÊ¼ÊúÖ±ÉÏÉý¡£Éè·ÉÐÐÆ÷·ÉÐÐʱËùÊܵÄ×èÁ¦´óС²»±ä¡£
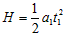
£¨1£©µÚÒ»´ÎÊÔ·ÉÖУ¬·ÉÐÐÆ÷·ÉÐÐt1£½8sʱµ½´ïµÄ¸ß¶ÈH£½64m£¬Çó·ÉÐÐÆ÷ËùÊÜ×èÁ¦fµÄ´óС£»
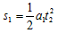
£¨2£©µÚ¶þ´ÎÊÔ·ÉÖУ¬·ÉÐÐÆ÷·ÉÐÐt2£½6sʱң¿ØÆ÷³öÏÖ¹ÊÕÏ£¬·ÉÐÐÆ÷Á¢¼´Ê§È¥ÉýÁ¦£¬Çó·ÉÐÐÆ÷ÄÜ´ïµ½µÄ×î´ó¸ß¶Èh£»
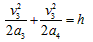
£¨3£©ÎªÁËʹ·ÉÐÐÆ÷²»ÖÂ×¹Âäµ½µØÃ棬Çó·ÉÐÐÆ÷´Ó¿ªÊ¼ÏÂÂäµ½»Ö¸´ÉýÁ¦µÄ×ʱ¼ät¡£
½â£º£¨1£©µÚÒ»´Î·ÉÐÐÖУ¬Éè¼ÓËÙ¶ÈΪa1
ÔȼÓËÙÔ˶¯£º
ÓÉÅ£¶ÙµÚ¶þ¶¨ÂÉ£º
½âµÃ£º
£¨2£©µÚ¶þ´Î·ÉÐÐÖУ¬ÉèʧȥÉýÁ¦Ê±µÄËÙ¶ÈΪv1£¬ÉÏÉýµÄ¸ß¶ÈΪs1
ÔȼÓËÙÔ˶¯£º
ÉèʧȥÉýÁ¦ºóµÄËÙ¶ÈΪa2£¬ÉÏÉýµÄ¸ß¶ÈΪs2
ÓÉÅ£¶ÙµÚ¶þ¶¨ÂÉ£º 
£¬
½âµÃ£º
£¨3£©ÉèʧȥÉýÁ¦Ï½µ½×¶Î¼ÓËÙ¶ÈΪa3£»»Ö¸´ÉýÁ¦ºó¼ÓËÙ¶ÈΪa4£¬»Ö¸´ÉýÁ¦Ê±ËÙ¶ÈΪv3
ÓÉÅ£¶ÙµÚ¶þ¶¨ÂÉ 
F+f-mg£½ma4
ÇÒ 
V3£½a3t3
½âµÃt3£½s£¨»ò2.1s£©¡£
Á·Ï°²áϵÁдð°¸
Ïà¹ØÏ°Ìâ

¿ÆÄ¿£º¸ßÖÐÎïÀí À´Ô´£º ÌâÐÍ£º

£¨2009?½­ËÕ£©º½Ä£ÐËȤС×éÉè¼Æ³öÒ»¼ÜÒ£¿Ø·ÉÐÐÆ÷£¬ÆäÖÊÁ¿m=2©K£¬¶¯Á¦ÏµÍ³ÌṩµÄºã¶¨ÉýÁ¦F=28N£®ÊÔ·Éʱ£¬·ÉÐÐÆ÷´ÓµØÃæÓɾ²Ö¹¿ªÊ¼ÊúÖ±ÉÏÉý£®Éè·ÉÐÐÆ÷·ÉÐÐʱËùÊܵÄ×èÁ¦´óС²»±ä£¬gÈ¡10m/s2£®
£¨1£©µÚÒ»´ÎÊÔ·É£¬·ÉÐÐÆ÷·ÉÐÐt1=8s Ê±µ½´ï¸ß¶ÈH=64m£®Çó·ÉÐÐÆ÷Ëù×èÁ¦fµÄ´óС£»
£¨2£©µÚ¶þ´ÎÊÔ·É£¬·ÉÐÐÆ÷·ÉÐÐt2=6s Ê±Ò£¿ØÆ÷³öÏÖ¹ÊÕÏ£¬·ÉÐÐÆ÷Á¢¼´Ê§È¥ÉýÁ¦£®Çó·ÉÐÐÆ÷ÄÜ´ïµ½µÄ×î´ó¿í¶Èh£»
£¨3£©ÎªÁËʹ·ÉÐÐÆ÷²»ÖÂ×¹Âäµ½µØÃ棬Çó·ÉÐÐÆ÷´Ó¿ªÊ¼ÏÂÂäµ½»Ö¸´ÉýÁ¦µÄ×ʱ¼ät3£®

²é¿´´ð°¸ºÍ½âÎö>>

¿ÆÄ¿£º¸ßÖÐÎïÀí À´Ô´£º ÌâÐÍ£º

º½Ä£ÐËȤС×éÉè¼Æ³öÒ»¼ÜÒ£¿Ø·ÉÐÐÆ÷£¬ÆäÖÊÁ¿m=3kg£®¶¯Á¦ÏµÍ³ÌṩµÄºã¶¨ÉýÁ¦F=42N£¬ÊÔ·Éʱ£¬·ÉÐÐÆ÷´ÓµØÃæÓɾ²Ö¹¿ªÊ¼ÊúÖ±ÉÏÉý£¬Éè·ÉÐÐÆ÷·ÉÐÐʱËùÊܵÄ×èÁ¦´óС²»±ä£¬gÈ¡10m/s2£®
£¨1£©µÚÒ»´ÎÊÔ·É£¬·ÉÐÐÆ÷·ÉÐÐt1=8sʱµ½´ï¸ß¶ÈH=64m£¬Çó·ÉÐÐÆ÷ËùÊÜ×èÁ¦×èÁ¦FfµÄ´óС£®
£¨2£©µÚ¶þ´ÎÊÔ·É£¬·ÉÐÐÆ÷·ÉÐÐt2=6sʱҡ¿ØÆ÷³öÏÖ¹ÊÕÏ£¬·ÉÐÐÆ÷Á¢¼´Ê§È¥ÉýÁ¦£¬Çó·ÉÐÐÆ÷ÄÜ´ïµ½µÄ×î´ó¸ß¶Èh£®
£¨3£©ÎªÁËʹ·ÉÐÐÆ÷²»×¹ÂäµØÃæ£¬Çó·ÉÐÐÆ÷´Ó¿ªÊ¼ÏÂÂäµ½»Ö¸´ÉýÁ¦µÄ×ʱ¼ät3£®

²é¿´´ð°¸ºÍ½âÎö>>

¿ÆÄ¿£º¸ßÖÐÎïÀí À´Ô´£º ÌâÐÍ£º

º½Ä£ÐËȤС×éÉè¼Æ³öÒ»¼ÜÒ£¿Ø·ÉÐÐÆ÷£¬ÆäÖÊÁ¿m=2kg£¬¶¯Á¦ÏµÍ³ÌṩµÄºã¶¨ÉýÁ¦F=28N£®ÊÔ·Éʱ£¬·ÉÐÐÆ÷´ÓµØÃæÓɾ²Ö¹¿ªÊ¼ÊúÖ±ÉÏÉý£®Éè·ÉÐÐÆ÷·ÉÐÐʱËùÊܵÄ×èÁ¦´óС²»±ä£®
£¨1£©µÚÒ»´ÎÊÔ·É£¬·É»ú·ÉÐÐt1=8sʱµ½´ïµÄ¸ß¶ÈH=64m£®Çó·É»úËùÊÜ×èÁ¦fµÄ´óС£®
£¨2£©µÚ¶þ´ÎÊÔ·É£¬·É»ú·ÉÐÐt2=6sʱң¿ØÆ÷³öÏÖ¹ÊÕÏ£¬·É»úÁ¢¼´Ê§È¥ÉýÁ¦£®Çó·É»úÄܵ½´ïµÄ×î´ó¸ß¶Èh£®
£¨3£©ÔÚµÚ£¨2£©ÎÊ»ù´¡ÉÏ£¬ÎªÁËʹ·É»ú²»ÖÂ×¹Âäµ½µØÃ棬Çó·É»ú´Ó¿ªÊ¼ÏÂÂäµ½»Ö¸´ÉýÁ¦µÄ×ʱ¼ät3£®

²é¿´´ð°¸ºÍ½âÎö>>

¿ÆÄ¿£º¸ßÖÐÎïÀí À´Ô´£º ÌâÐÍ£º

£¨2011?»ÆÆÖÇøÒ»Ä££©º½Ä£ÐËȤС×éÉè¼Æ³öÒ»¼ÜÒ£¿Ø·ÉÐÐÆ÷£¬ÆäÖÊÁ¿m=0.5©K£¬¶¯Á¦ÏµÍ³ÌṩµÄºã¶¨ÉýÁ¦F=8N£®ÊÔ·Éʱ£¬·ÉÐÐÆ÷´ÓµØÃæÓɾ²Ö¹¿ªÊ¼ÊúÖ±ÉÏÉý£®£¨Éè·ÉÐÐÆ÷·ÉÐÐʱËùÊܵÄ×èÁ¦´óС²»±ä£¬gÈ¡10m/s2£®£©
£¨1£©µÚÒ»´ÎÊÔ·É£¬·ÉÐÐÆ÷·ÉÐÐt1=6s Ê±µ½´ï¸ß¶ÈH=36m£®Çó·ÉÐÐÆ÷ËùÊÜ×èÁ¦´óС£»
£¨2£©µÚ¶þ´ÎÊÔ·É£¬·ÉÐÐÆ÷·ÉÐÐt2=5s Ê±Ò£¿ØÆ÷³öÏÖ¹ÊÕÏ£¬·ÉÐÐÆ÷Á¢¼´Ê§È¥ÉýÁ¦£®Çó·ÉÐÐÆ÷ÄÜ´ïµ½µÄ×î´ó¸ß¶Èh£»
£¨3£©ÎªÁËʹ·ÉÐÐÆ÷²»ÖÂ×¹Âäµ½µØÃ棬Çó·ÉÐÐÆ÷´Ó¿ªÊ¼ÏÂÂäµ½»Ö¸´ÉýÁ¦µÄ×ʱ¼ät3£®

²é¿´´ð°¸ºÍ½âÎö>>

¿ÆÄ¿£º¸ßÖÐÎïÀí À´Ô´£º ÌâÐÍ£º

£¨2010?¼ÃÄÏһ죩º½Ä£ÐËȤС×éÉè¼Æ³öÒ»¼ÜÒ£¿Ø·ÉÐÐÆ÷£¬ÊÔ·Éʱ£¬·ÉÐÐÆ÷´ÓµØÃæÊúÖ±ÉÏÉýÖÁ×î¸ßµãµÄ¹ý³ÌÖУ¬Ò£¿ØÆ÷³öÏÖ¹ÊÕÏ£¬·ÉÐÐÆ÷ͻȻʧȥÉýÁ¦£¬¼Ì¶ø¿ªÊ¼ÏÂÂ䣮ÒÑÖª·ÉÐÐÆ÷ÏÂÂä¹ý³ÌÖУ¬ËùÊÜ¿ÕÆø×èÁ¦ÓëÏÂÂäËٶȳÉÕý±È£¬Ôò·ÉÐÐÆ÷Ëٶȼ°ËùÊܵĺÏÍâÁ¦µÄ±ä»¯Çé¿öÊÇ£¨¡¡¡¡£©

²é¿´´ð°¸ºÍ½âÎö>>

ͬ²½Á·Ï°²á´ð°¸