精英家教网 > 高中物理 > 题目详情

为了安全,在公路上行驶的汽车之间应保持一定的距离。已知某高速公路的最高限速为v=40m/s。假设前方汽车突然停止,后面司机发现这一情况,经操纵刹车到汽车开始减速经历的时间(即反应时间)t=0.5s。刹车时汽车的加速度大小为4m/s2。求该高速公路上行驶的汽车的距离至少应为多少?(g取10m/s2

                                                           

【解析】前方汽车突然停止,后面的汽车在司机反应时间内以原速率做匀速直线运动,然后做匀减速直线运动直到停止。

设在司机反映时间内后面的汽车的位移为s1,则有

s1=vt=20m

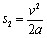
设后面的汽车做减速运动到停止的位移为s2,由匀变速运动的规律可知

0-v2=-2as2

解得:=200m

后面的汽车从司机发现前面的汽车停止到自己停下来所走的总的距离为

s=s1+s2=220m

故高速公路上行驶的汽车的距离至少应为220m。

练习册系列答案
相关习题

科目:高中物理 来源: 题型:

为了安全,在公路上行驶的汽车之间应保持必要的距离.已知某高速公路的最高限速V=120km/h,假设前方车辆突然停止,后车司机从发现这情况经操纵刹车到汽车开始减速所经历的时间(即反应时间)t为0.5s,刹车时汽车受到的阻力f大小为汽车重力的0.4倍,则该高速公路上汽车间的距离s至少应为多少?

查看答案和解析>>

科目:高中物理 来源: 题型:

为了安全,在公路上行驶的汽车之间应保持一定的距离.已知某高速公路的最高限速为v=40m/s.假设前方汽车突然停止,后面司机发现这一情况,经操纵刹车到汽车开始减速经历的时间(即反应时间)t=0.5s.刹车时汽车的加速度大小为4m/s2.求该高速公路上行驶的汽车的距离至少应为多少?(g取10m/s2

查看答案和解析>>

科目:高中物理 来源: 题型:

为了安全,在公路上行驶的汽车之间应保持必要的车距.已知某地高速公路的最高限速v=110km/h (见图),假设前方车辆突然停止,后车司机从发现这一情况,经操纵刹车到汽车开始减速的时间t=0.50s,刹车时汽车受到的阻力大小为车重的0.40倍,则该高速公路上汽车之间的安全车距至少为多少?(g取10m/s2)(结果保留3位有效数字)

查看答案和解析>>

科目:高中物理 来源: 题型:

为了安全,在公路上行驶的汽车之间应保持必要的距离,已知某高速公路的最高限速v=180km/h.假设前方车辆因故障突然停止,后车司机从发现这一情况,经操纵刹车,到汽车开始减速所经历的时间(即反应时间)t=0.50s.刹车时汽车受到阻力的大小f为汽车重力的0.80倍.该高速公路上汽车间的距离s至少应为多少?(取g=10m/s2

查看答案和解析>>

科目:高中物理 来源: 题型:

为了安全,在公路上行驶的汽车之间应保持必要的距离,已知某高速公路的最高限速为108km/h,假设前方车辆突然停止,后车司机从发现这一情况;经操纵刹车,到汽车开始减速所经历的时间(即反应时间)t=0.50s,刹车时汽车的加速度大小为4m/s2,该高速公路上汽车间的距离至少应为多少?

查看答案和解析>>

同步练习册答案