精英家教网 > 高中物理 > 题目详情

物体由静止开始做直线运动,先匀加速运动了t1=4秒,速度达到10米每秒,又匀速运动了t2=10秒,再匀减速运动t3=6秒后停止,求运动过程中产生的总位移?


考点:

匀变速直线运动的位移与时间的关系.版权所有

专题:

直线运动规律专题.

分析:

根据匀变速直线运动的平均速度公式分别求出匀加速运动和匀减速运动的位移,结合匀速运动的位移求出总路程的大小.

解答:

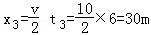
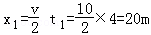
解:匀加速直线运动的位移:

匀速直线运动的位移:x2=vt2=10×10m=100m,

匀减速直线运动的位移:

则总路程:x=x1+x2+x3=20+100+30m=150m.

答:运动过程中产生的总位移为150m.

点评:

本题也可以通过速度时间图线,抓住图线与时间轴围成的面积表示位移进行求解.

 

练习册系列答案
相关习题

科目:高中物理 来源: 题型:


两个相同的金属小球,带电量之比为1:5,当它们相距r时的相互作用力为F1.若把它们互相接触后再放回原处,它们的相互作用力变为F2,则之值可能为(  )

 

A.

5:1

B.

5:9

C.

5:4

D.

5:8

查看答案和解析>>

科目:高中物理 来源: 题型:


下列关于力的说法中,正确的是(  )

 

A.

力是不能离开物体而独立存在的,一个力既有施力物体,又有受力物体

 

B.

只有相互接触的两物体之间才会产生力的作用

 

C.

物体的施力和受力是同时的

 

D.

一个物体先对别的物体施加力后,才能受到反作用力

查看答案和解析>>

科目:高中物理 来源: 题型:


在匀变速直线运动中,下面关于速度和加速度关系的说法,正确的是(  )

 

A.

加速度变大,速度可能减小

 

B.

速度减小时,加速度也一定减小

 

C.

速度为零,加速度也一定为零

 

D.

速度增大时,加速度也一定增大

查看答案和解析>>

科目:高中物理 来源: 题型:


一辆电车从静止开始,做匀加速直线运动,加速度大小是2m/s2,则它在前4s内行驶的路程等于 16 m.

查看答案和解析>>

科目:高中物理 来源: 题型:


在平面上运动的物体,其x方向分速度vx和y方向分速度vy随时间t变化的图线如图中的(a)和(b)所示,则图中最能反映物体运动轨迹的是(  )

 

A.

B.

C.

D.

查看答案和解析>>

科目:高中物理 来源: 题型:


关于质点做匀速圆周运动,以下说法中正确的是(  )

 

A.

因为a=,所以向心加速度与旋转半径r 成反比

 

B.

因为a=ω2r,所以向心加速度与旋转半径r成正比

 

C.

因为ω=,所以角速度与旋转半径r成反比

 

D.

因为ω=2πn,所以角速度与转速成正比

查看答案和解析>>

科目:高中物理 来源: 题型:


若有一艘宇宙飞船在某一行星表面做匀速圆周运动,设其周期为T,引力常量为G,那么该行星的平均密度为(  )

 

A.

B.

C.

D.

查看答案和解析>>

科目:高中物理 来源: 题型:


如图所示,甲分子固定于坐标原点O,乙分子从无穷远a处由静止释放,在分子力的作用下靠近甲.图中b点合外力表现为引力,且为数值最大处,d点是分子靠得最近处.则下列说法正确的是(  )

  A. 乙分子在a点势能最小 B. 乙分子在b点动能最大

  C. 乙分子在c点动能最大 D. 乙分子在c点加速度为零

查看答案和解析>>

同步练习册答案