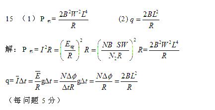
有一边长分别为L和2L的矩形导体框,导体框的总电阻为R.让导体框在磁感应强度为B的匀强磁场中以恒定角速度ω绕两短边中点为轴旋转,如图所示.求:
(1)导体框的发热功率.
(2)由图示位置转过900的过程中,通过导体截面的电量。
![]()
科目:高中物理 来源: 题型:
如图,电灯的灯丝电阻为2Ω,电池电动势为2V,内阻不计,线圈匝数足够多,其直流电阻为3Ω.先合上电键K,过一段时间突然断开K,则下列说法中正确的是
A.电灯立即变暗再熄灭,且电灯中电流方向与K断开前方向相同
B.电灯立即变暗再熄灭,且电灯中电流方向与K断开前方向相反
C.电灯会突然比原来亮一下再熄灭,且电灯中电流方向与K断开前方向相同
D.电灯会突然比原来亮一下再熄灭,且电灯中电流方向与K断开前方向相反
![]()
查看答案和解析>>
科目:高中物理 来源: 题型:
关于原子核的衰变,下列说法中正确的是:( )
A.
射线有很强的穿透本领 B.β射线为原子的核外电子电离后形成的电子流
C.γ射线是波长很长的电磁波 D.用任何方法都不能改变原子核的半衰期
查看答案和解析>>
科目:高中物理 来源: 题型:
如图所示,印度第一艘自主研发的核潜艇于2009年7月26日正式下水,成为世界第六个拥有核潜艇的国家.核动力潜艇是潜艇中的一种类型,指以核反应堆为动力来源设计的潜艇.在核反应中有一种是一个
原子核在中子的轰击下发生的一种可能的裂变反应,其裂变方程为
,则下列叙述正确的是( )
A.X原子核中含有54个质子
B.X原子核中含有53个中子
C.裂变时释放能量是因为亏损的质量变成了能量
D.裂变时释放能量,出现质量亏损,但质量数守恒
![]()
查看答案和解析>>
科目:高中物理 来源: 题型:
用遥控器调换电视频道的过程,实际上就是传感器把光信号转换成电信号的过程,下列属于这类传感器的是( )
A.红外报警装置
B.走廊照明灯的声控装置
C.自动洗衣机中的压力传感装置
D.电饭煲中控制加热和保温的温控器
查看答案和解析>>
科目:高中物理 来源: 题型:
如图6-2-14甲所示为一根竖直悬挂的不可伸长的细绳,绳长为l,下端拴一质量为m的小物块A,上端固定在C点且与一能测量绳拉力的传感器相连,已知有一质量为m0的子弹B沿水平方向以速度v0射入A内(未穿透),接着两者一起绕C点在竖直平面内做圆周运动,在各种阻力都忽略的条件下测力传感器测得绳的拉力F随时间t的变化关系如图乙所示,已知子弹射入的时间极短,且图中t=0为A,B开始以相同速度运动的时刻,根据力学规律和题(包括图)中提供的信息,求物块在最高点和最低点的速度.
![]()
图6-2-14
查看答案和解析>>
科目:高中物理 来源: 题型:
如图所示,n=50匝的矩形线圈abcd,边长ab=20 cm,bc=25 cm,放在磁感应强度B=0.4 T的匀强磁场中,绕垂直于磁感线且通过线圈的中轴线OO′匀速转动,转动角速度ω=50 rad/s,线圈的总电阻r=1 Ω,外电路电阻R=9 Ω.试求:
(1)线圈从图示位置(线圈平面与磁感线平行)开始计时的感应电动势最大值和感应电动势大小的表达式;
(2)1 分钟时间内电阻R上产生的焦耳热Q.
![]()
查看答案和解析>>
科目:高中物理 来源: 题型:
酒后驾驶会导致许多安全隐患,其中之一是驾驶员的反应时间变长,反应时间是指驾驶员从发现情况到开始采取制动的时间.下表中“思考距离”是指驾驶员从发现情况到采取制动的时间内汽车行驶的距离,“制动距离”是指驾驶员从发现情况到汽车停止行驶的距离(假设汽车制动时的加速度大小都相同).
| 速度(m/s) | 思考距离/m | 制动距离/m | ||
| 正常 | 酒后 | 正常 | 酒后 | |
| 15 | 7.5 | 15.0 | 22.5 | 30.0 |
| 20 | 10.0 | 20.0 | 36.7 | 46.7 |
| 25 | 12.5 | 25.0 | 54.2 | x |
分析上表可知,下列说法错误的是( )
A.驾驶员酒后反应时间比正常情况下多0.5 s
B.若汽车以20 m/s的速度行驶时,发现前方40 m处有险情,酒后驾驶不能安全停车
C.汽车制动时,加速度大小为10 m/s2
D.表中x为66.7
查看答案和解析>>
湖北省互联网违法和不良信息举报平台 | 网上有害信息举报专区 | 电信诈骗举报专区 | 涉历史虚无主义有害信息举报专区 | 涉企侵权举报专区
违法和不良信息举报电话:027-86699610 举报邮箱:58377363@163.com