精英家教网 > 高中物理 > 题目详情

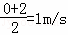
建筑材料被吊车竖直向上提升过程的运动图象如图所示,下列相关判断正确的是()

    A. 30~36秒处于超重状态

    B. 30~36秒的加速度较0~10秒的大

    C. 0~10秒与30~36秒平均速度相同

    D. 0~36秒提升了36m


考点:  匀变速直线运动的图像.

专题:  运动学中的图像专题.

分析:  根据v﹣t图象可知道物体的运动过程和性质,也可求出对应的加速度,从而能求出前5s的位移和平均速度.通过速度时间图象包围的面积求出整个过程上升高度.30~36s材料是向上做匀减速直线运动,加速度的方向是向下的.前10s钢索是向上做匀加速直线运动,根据牛顿第二定律可知材料所受的拉力大于重力.

解答:  解:A、30~36s内材料是向上做匀减速直线运动,加速度的方向是向下的,所以处于失重状态根据v﹣t图象可知:0﹣10s内材料的加速度a=0.1m/s2

 0﹣5s位移x=at2=1.25m,所以前5s的平均速度是0.25m/s,故A错误;

B、30~36秒的加速度为,0~10秒的加速度为,故B正确;

C、0~10秒的平均速度为,30~36秒平均速度为,故C正确;

D、通过速度时间图象包围的面积求出整个过程上升高度h=×2m=56m,故D错误;

故选BC.

点评:  该题考查了匀变速直线运动的速度时间图象、运动学的公式、牛顿第二定律的应用等知识点.本题的关键在于能够通过速度时间图象对物体进行运动过程分析和受力分析,再正确运用牛顿第二定律解决问题.


练习册系列答案
相关习题

科目:高中物理 来源: 题型:


在学习运动的合成与分解时我们做过如图所示的实验.在长约80cm~100cm一端封闭的玻璃管中注满清水,水中放一个用红蜡做成的小圆柱体(小圆柱体恰能在管中匀速上浮),将玻璃管的开口端用胶塞塞紧,然后将玻璃管竖直倒置,在红蜡块匀速上浮的同时使玻璃管紧贴黑板面在水平方向上匀加速移动,你正对黑板面将看到红蜡块相对于黑板面的移动轨迹可能是下列选项中的(                                                                             )                     

                                                                                                             

   A.                  B.                         C.      D.

                                                                                                                                 

查看答案和解析>>

科目:高中物理 来源: 题型:


如图所示,足够长的光滑导轨倾斜放置,其下端连接一个定值电阻R,匀强磁场垂直于导轨所在平面,将ab棒在导轨上无初速度释放,当ab棒下滑到稳定状态时,速度为v,电阻R上消耗的功率为P.导轨和导体棒电阻不计.下列判断正确的是(  )

  A. 导体棒的a端比b端电势低

  B. ab棒在达到稳定状态前做加速度减小的加速运动

  C. 若磁感应强度增大为原来的2倍,其他条件不变,则ab棒下滑到稳定状态时速度将变为原来的

  D. 若换成一根质量为原来2倍的导体棒,其他条件不变,则导体棒下滑到稳定状态时R的功率将变为原来的4倍

查看答案和解析>>

科目:高中物理 来源: 题型:


如图是自动跳闸的闸刀开关,闸刀处于垂直纸面向里匀强磁场中,当CO间的闸刀刀片通过的直流电流超过额定值时,闸刀A端会向左弹开断开电路.以下说法正确的是()

    A. 闸刀刀片中的电流方向为C至O

    B. 闸刀刀片中的电流方向为O至C

    C. 跳闸时闸刀所受安培力没有做功

    D. 增大匀强磁场的磁感应强度,可使自动跳闸的电流额定值减小

查看答案和解析>>

科目:高中物理 来源: 题型:


下列各组物理量中,都属于矢量的是()

    A.             位移和时间          B. 力和质量        C. 加速度和路程 D. 力和位移

查看答案和解析>>

科目:高中物理 来源: 题型:


用发光二极管制成的LED灯具有发光效率高、使用寿命长等优点,在生产与生活中得到广泛应用.某同学找到一个LED灯泡,测得它两端电压U和通过的电流I的数据如下表:

      1     2    3    4    5     6     7     8     9     10    11    12

U/V   0.00  …   …   …   2.60  2.72  2.80  2.92  3.00  3.17  3.30  3.50

I/mA  0.00  …   …   …   1.29  5.77  8.71  19.05 27.30 38.86 50.63 68.00

(1)实验室提供的器材如下:

A.电流表(量程0~0.6A,内阻约1Ω)

B.电流表(量程0~100mA,内阻约50Ω)

C.电压表(量程0~6V,内阻约50kΩ)

D.电压表(量程0~15V,内阻约60kΩ)

E.电源(电动势6V,内阻不计)

F.滑动变阻器(阻值范围0~10Ω,允许最大电流3A)

G.开关,导线

该同学做实验时,电压表选用的是C,电流表选用的是B;(填选项前字母)

(2)请在图中以笔画线代替导线,按实验要求将实物图中的连线补充完整;

(3)开关闭合之前,图中滑动变阻器的滑片应该置于   (填“A端”、“B端”或“A、B正中间”);

(4)若该LED灯泡的额定电压为3V,则此LED灯泡的额定功率为     W

查看答案和解析>>

科目:高中物理 来源: 题型:


下列几种做法中,正确的是()

    A. 保险丝熔断后,可用铁丝代替

    B. 可用湿布擦洗带电设备

    C. 发现电线着火,立即泼水灭火

    D. 发现有人触电时,应赶快切断电源或用干燥木棍将电线挑开

查看答案和解析>>

科目:高中物理 来源: 题型:


关于摩擦力,以下说法中正确的是()

    A. 运动的物体只可能受到滑动摩擦力

    B. 静止的物体有可能受到滑动摩擦力

    C. 滑动摩擦力的方向总是与运动方向相反

    D. 滑动摩擦力的方向不可能与运动方向一致

查看答案和解析>>

科目:高中物理 来源: 题型:


矩形线框绕垂直于磁场的轴匀速转动产生交流电,电动势瞬时值表达式为e=220sin100πt(V),下列说法正确的是()

    A. t=0时刻穿过线框的磁通量为零

    B. 电动势的有效值为220V

    C. 交流电的周期为0.01s

    D. 若转速增大1倍,其它条件不变,则电动势瞬时值表达式为e=440sin100πt(V)

查看答案和解析>>

同步练习册答案