精英家教网 > 高中物理 > 题目详情

(20分)如图所示,矩形区域I和II内分别存在方向垂直于纸面向外和向里的匀强磁场(AA′、BB′、CC′、DD′为磁场边界,四者相互平行),磁感应强度大小均为B,矩形区域的长度足够长,两磁场宽度及BB′与CC′之间的距离均相同。某种带正电的粒子从AA′上O1处以大小不同的速度沿与O1A成α=30°角进入磁场(如图所示,不计粒子所受重力),当粒子的速度小于某一值时,粒子在区域I内的运动时间均为t0.当速度为v0时,粒子在区域I内的运动时间为t0/5。求:

(1)粒子的比荷q/m

(2)磁场区域I和II的宽度d

(3)速度为v0的粒子从Ol到DD′所用的时间。

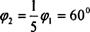
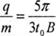
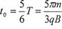
解:(1)若速度小于某一值时粒子不能从BB′离开区域I,只能从AA′边离开区域I。则无论粒子速度大小,在区域I中运动的时间相同。轨迹如图所示(图中只画了一个粒子的轨迹)。则粒子在区域I内做圆周运动的圆心角为φ=300°,由

                  得:粒子做圆周运动的周期

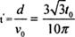
       由        解得:

(2)速度为v0时粒子在区域I内运动时间为t0/5,设轨迹所对圆心角为φ2。由         得:

       所以其圆心在BB′上,穿出BB′时速度方向与BB′垂直,其轨迹如图所示,设轨道半径为R,由

             得:              

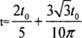
(3)区域I、II宽度相同,则粒子在区域I、II中运动时间均为t0/5,穿过中间无磁场区域的时间为

                   则粒子从O1到DD′所用的时间

练习册系列答案
相关习题

科目:高中物理 来源: 题型:

如图所示,矩形区域I和II内分别存在方向垂直于纸面向外和向里的匀强磁场(AA′、BB′、CC′、DD′为磁场边界,四者相互平行),磁感应强度大小均为B,矩形区域的长度足够长,两磁场宽度及BB′与CC′之间的距离均相同.某种带正电的粒子从AA′上O1处以大小不同的速度沿与O1A成α=30°角进入磁场(如图所示,不计粒子所受重力),当粒子的速度小于某一值时,粒子在区域I内的运动时间均为t0.当速度为v0时,粒子在区域I内的运动时间为
t0
5
.求:
(1)粒子的比荷
q
m

(2)磁场区域I和II的宽度d;
(3)速度为v0的粒子从Ol到DD′所用的时间.

查看答案和解析>>

科目:高中物理 来源: 题型:

如图所示,矩形区域I和II内分别存在方向垂直于纸面向外和向里的匀强磁场(AA′、BB′、CC′、DD′为磁场边界,四者相互平行),磁感应强度大小均为B,矩形区域的长度足够长,两磁场宽度及BB′与CC′之间的距离均相同。某种带正电的粒子从AA′上O1处以大小不同的速度沿与O1A成α=30°角进入磁场(如图所示,不计粒子所受重力),当粒子的速度小于某一值时,粒子在区域I内的运动时间均为t0.当速度为v0时,粒子在区域I内的运动时间为t0/5。求:

(1)粒子的比荷q/m

(2)磁场区域I和II的宽度d;

(3)速度为v0的粒子从Ol到DD′所用的时间。

查看答案和解析>>

科目:高中物理 来源: 题型:

如图所示,矩形区域I和II内分别存在方向垂直于纸面向外和向里的匀强磁场(AA′、BB′、CC′、DD′为磁场边界,四者相互平行),磁感应强度大小均为B,矩形区域的长度足够长,两磁场宽度及BB′与CC′之间的距离均相同。某种带正电的粒子从AA′上O1处以大小不同的速度沿与O1A成α=30°角进入磁场(如图所示,不计粒子所受重力),当粒子的速度小于某一值时,粒子存区域I内的运动时间均为t0.当速度为v0时,粒子在区域I内的运动时间为t0/5。求:

(1)粒子的比荷q/m

(2)磁场区域I和II的宽度d

(3)速度为v0的粒子从Ol到DD′所用的时间。

查看答案和解析>>

科目:高中物理 来源: 题型:

如图所示,矩形区域I和II内分别存在方向垂直于纸面向外和向里的匀强磁场(AA′、BB′、CC′、DD′为磁场边界,四者相互平行),磁感应强度大小均为B,矩形区域的长度足够长,两磁场宽度及BB′与CC′之间的距离均相同。某种带正电的粒子从AA′上O1处以大小不同的速度沿与O1A成α=30°角进入磁场(如图所示,不计粒子所受重力),当粒子的速度小于某一值时,粒子存区域I内的运动时间均为t0.当速度为v0时,粒子在区域I内的运动时间为t0/5。求:

(1)粒子的比荷q/m

(2)磁场区域I和II的宽度d

(3)速度为v0的粒子从Ol到DD′所用的时间。

 

 

 

 

查看答案和解析>>

科目:高中物理 来源:2010-2011学年四川省高三第二次诊断性模拟检测(理综)物理部分 题型:计算题

如图所示,矩形区域I和II内分别存在方向垂直于纸面向外和向里的匀强磁场(AA′、BB′、CC′、DD′为磁场边界,四者相互平行),磁感应强度大小均为B,矩形区域的长度足够长,两磁场宽度及BB′与CC′之间的距离均相同。某种带正电的粒子从AA′上O1处以大小不同的速度沿与O1A成α=30°角进入磁场(如图所示,不计粒子所受重力),当粒子的速度小于某一值时,粒子在区域I内的运动时间均为t0.当速度为v0时,粒子在区域I内的运动时间为t0/5。求:

(1)粒子的比荷q/m

(2)磁场区域I和II的宽度d;

(3)速度为v0的粒子从Ol到DD′所用的时间。

 

查看答案和解析>>

同步练习册答案