精英家教网 > 高中物理 > 题目详情
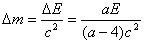
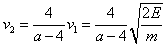
静止的原子核abX发生衰变时,放出的能量都转变成了α粒子和新核的动能,若测得α粒子动能为E,则新原子核的动能为多少?衰变中质量亏损是多少?
解:衰变方程为
,得α粒子的速度
由动量守恒定律得:
新核的动能:
原子核衰变放出的能量:
由质能方程△E=△mc2
练习册系列答案
相关习题

科目:高中物理 来源: 题型:

(2008?浙江模拟)原来静止的原子核
 
a
b
X
衰变出α粒子的动能为Ek0,假设衰变时产生的能量全部以动能形式释放出来,则此衰变过程的质量亏损是(  )

查看答案和解析>>

科目:高中物理 来源:高考三人行 物理 题型:013

光子的能量为 ,动量的大小为 .如果一个静止的放射性元素的原子核在发生衰 变时只发生一个γ光子,则衰变后的原子核

[  ]

A.仍然静止

B.沿着与光子运动方向相同的方向运动

C.沿着与光子运动方向相反的方向运动

D.可能向任何方向运动

查看答案和解析>>

科目:高中物理 来源: 题型:

(18分)一静止的原子核A发生α衰变后变成原子核B,已知原子核A、原子核B和α粒子的质量分别为mA、mB,和mα,光速为c(不考虑质量与速度有关的相对论效应),求衰变后原子核B和α粒子的动能。

查看答案和解析>>

科目:高中物理 来源: 题型:

原来静止的原子核X发生α衰变时,放出α粒子的动能为E0.假设衰变时产生的能量全部以动能的形式释放出来,则在此衰变过程中的质量亏损是(  )

A.                                                           B.

C.                                                  D.

查看答案和解析>>

同步练习册答案