精英家教网 > 高中物理 > 题目详情

如图所示,某司机驾驶一辆小汽车在平直公路上以15m/s的速度匀速行驶.他突然发现正前方有一宠物小狗因受惊吓静止在公路中央,立即刹车,刹车的加速度大小为7.5m/s2,最后在距离小狗2m的地方停下.求

(1)司机从发现小狗刹车到停止所用的时间;

(2)司机发现小狗刹车时距离小狗多远.


考点:

匀变速直线运动的位移与时间的关系.版权所有

专题:

直线运动规律专题.

分析:

根据速度时间公式求出刹车到停止所需的时间,结合速度位移公式求出刹车的距离,从而求出发现小狗时距离小狗的距离.

解答:

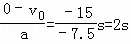
解:(1)根据v=v0+at得,

刹车到停止所需的时间t=

(2)刹车的距离

则司机发现小狗时的距离x=x1+2m=17m.

答:(1)司机从发现小狗到刹车停止所用的时间为2s;

(2)司机发现小狗刹车时距离小狗17m.

点评:

解决本题的关键掌握匀变速直线运动的运动学公式,并能灵活运用.

 

练习册系列答案
相关习题

科目:高中物理 来源: 题型:


在“探究求合力的方法”实验中,需要将橡皮条的一端固定在水平木板上,另一端系上两根细绳,细绳的另一端都有绳套,实验中需用两个弹簧测力计分别勾住绳套,并互成角度地拉橡皮条,某同学认为在此过程中必须注意以下几项,其中正确的是(   )

A.拉橡皮条的细绳要适当长些

B.两根绳必须等长

C.弹簧秤、细绳、橡皮条都应与木板平行

D.用两弹簧秤同时拉细绳时两弹簧秤示数之差应尽可能大

查看答案和解析>>

科目:高中物理 来源: 题型:


质量和电荷量都相等的带电粒子M和N,以不同的速率经小孔S垂直进入匀强磁场,运行的半圆轨迹如图中虚线所示.下列表述正确的是(  )

 

A.

M带负电,N带正电

 

B.

M的速率小于N的速率

 

C.

洛伦兹力对M、N做正功

 

D.

M的运行时间等于N的运行时间

查看答案和解析>>

科目:高中物理 来源: 题型:


一根轻质弹簧竖直悬挂一小球,弹簧和小球的受力如图所示,下列说法正确的是(  )

 

A.

F1的施力者是弹簧

B.

F2的反作用力是F3

 

C.

F3与F2是一对平衡力

D.

F4的反作用力是F3

查看答案和解析>>

科目:高中物理 来源: 题型:


如图所示,轻弹簧上端与一质量为m的木块1相连,下端与另一质量为M的木块2相连,整个系统置于水平放置的光滑木板上,并处于静止状态.现将木板沿水平方向突然抽出,设抽出后的瞬间,木块1、2的加速度大小分别为a1、a2.重力加速度大小为g,则有(  )

 

A.

a1=0,a2=g

B.

a1=g,a2=g

 

C.

a1=0,a2=g

D.

a1=g,a2=g

查看答案和解析>>

科目:高中物理 来源: 题型:


关于电场,下列说法正确的是(  )

 

A.

由E=知,若q减半,则该处电场强度为原来的2倍

 

B.

由E=k知,E与Q成正比,而与r2成反比

 

C.

由E=k知,在以Q为球心,以r为半径的球面上,各处场强均相同

 

D.

电场中某点场强方向就是该点所放电荷受到的静电力的方向

查看答案和解析>>

科目:高中物理 来源: 题型:


在研究微型电动机的性能时,应用如图所示的实验电路,当调节滑动变阻器R并控制电动机停止转动时,电流表和电压表的示数分别为0.5A和2V.重新调节R并使电动机恢复正常运转,此时电流表和电压表的示数分别为2A和24V,则这台电动机正常运转时的输出功率为(  )

 

A.

48W

B.

47W

C.

44W

D.

32W

查看答案和解析>>

科目:高中物理 来源: 题型:


现代战争是科技之战、信息之战,某集团军进行的一次实战演习过程,在基地导演部的大型显示屏上一览无余,如图所示是蓝军由基地A分三路大军进攻红军基地B的显示,若用s1、s2和s3分别表示三路大军的位移,则由大屏幕的显示图可知(  )

 

A.

s1>s2>s3

B.

s1<s2<s3

 

C.

s1=s2=s3

D.

三者关系无法确定

查看答案和解析>>

科目:高中物理 来源: 题型:


如图,在倾角为α的固定光滑斜面上,有一用绳子栓着的长木板,木板上站着一只猫.已知木板的质量是猫的质量的2倍.当绳子突然断开时,猫立即沿着板向上跑,以保持其相对斜面的位置不变.则此时木板沿斜面下滑的加速度为(  )

 

A.

B.

gsinα

C.

gsinα

D.

2gsinα

查看答案和解析>>

同步练习册答案