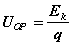
精英家教网 > 高中物理 > 题目详情

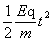
如图所示,xOy平面为一光滑水平面,在此区域内有平行于xOy平面的匀强电场,场强大小E=100 V/m;同时有垂直于xOy平面的匀强磁场。一质量m=2×10-6 kg、电荷量q=2×10-7 C的带负电粒子从坐标原点O以一定的初动能入射,在电场和磁场的作用下发生偏转,到达p (4,3)点时,动能变为初动能的0.5倍,速度方向垂直OP向上。此时撤去磁场,经过一段时间该粒子经过y轴上的M(0, 6.25)点,动能变为初动能的0.625倍,求:
(1)粒子从O到P与从P到M的过程中电场力做功的大小之比;

(2)OP连线上与M点等电势的点的坐标;
(3)粒子由P点运动到M点所需的时间。


【知识点】电势和动能定理和带电粒子在复合场中运动综合应用考查题。E2、I2、I7。

【答案解析】设粒子在P点时的动能为Ek,则初动能为2Ek,在M点的动能为1.25Ek。

由于洛伦兹力不做功,粒子从O点到P点和从P点到M点的过程中,电场力做的功大小分别为W1、W2    由动能定理得:-W1= Ek-2Ek                                     (1分)

                                   W2   = 1.25Ek-Ek                                  (1分)

                         则                           (2分)

(2)O点和P点及M点的电势差分别为:

                         (2分)

设OP连线上与M点电势相等的点为D,由几何关系得OP的长度为5m,

沿OP方向电势下降。则:     (2分)

得OD=3.75m ,OP与X轴的夹角则:   

D点的坐标为x D=ODcosα=3 m,   YD =ODsinα=2.25m

即:D (3 m,2.25 m)               (3分)

由于OD=3.75 m  而OMcos=3.75 m  所以MD垂直于OP,

由于MD为等势线,因此OP为电场线 ,方向从O到P  (3分)

带电粒子从P到M过程中做类平抛运动,设运动时间为t

则DP=          (2分)   又,DP=OP-OD=1.25m

解得:       (2分)

【思路点拨】本题是带电粒子在复合场中运动的类型,画出磁场中运动轨迹,电场中运用运动的分解都是常规方法,要能灵活运用几何知识求解磁场中空间尺寸。它用从下面几个方面思考求解:

(1)粒子运动过程中,洛伦兹力不做功,只有电场力做功,根据动能定理求解.

(2)根据电势差的定义式求出O点与P点、M点间的电势差.由公式U=Ed,求出OD,由数学知识可得解.

(3)带电粒子从P到M过程中做类平抛运动,由运动的分解法,根据牛顿第二定律和运动学公式结合求解.

练习册系列答案
相关习题

科目:高中物理 来源: 题型:


(1)如图1所以,磁感应强度为B的匀强磁场垂直于纸面,在纸面内有一条以O点为圆心、半径为L圆弧形金属导轨,长也为L的导体棒OA可绕O点自由转动,导体棒的另一端与金属导轨良好接触,并通过导线与电阻R构成闭合电路.当导体棒以角速度ω匀速转动时,试根据法拉第电磁感应定律E=,证明导体棒产生的感应电动势为E=BωL2.

(2)某同学看到有些玩具车在前进时车轮上能发光,受此启发,他设计了一种带有闪烁灯的自行车后轮,可以增强夜间骑车的安全性.图1所示为自行车后车轮,其金属轮轴半径可以忽略,金属车轮半径r=0.4m,其间由绝缘辐条连接(绝缘辐条未画出).车轮与轮轴之间均匀地连接有4根金属条,每根金属条中间都串接一个LED灯,灯可视为纯电阻,每个灯的阻值为R=0.3Ω并保持不变.车轮边的车架上固定有磁铁,在车轮与轮轴之间形成了磁感应强度B=0.5T,方向垂直于纸面向外的扇形匀强磁场区域,扇形对应的圆心角θ=30°.自行车匀速前进的速度为v=8m/s(等于车轮边缘相对轴的线速度).不计其它电阻和车轮厚度,并忽略磁场边缘效应.

①在图1所示装置中,当其中一根金属条ab进入磁场时,指出ab上感应电流的方向,并求ab中感应电流的大小;

②若自行车以速度为v=8m/s匀速前进时,车轮受到的总摩擦阻力为2.0N,则后车轮转动一周,动力所做的功为多少?(忽略空气阻力,π≈3.0)

查看答案和解析>>

科目:高中物理 来源: 题型:


一物体做直线运动,其加速度随时间变化的a-t图像如图所示。下列v-t图像中,可能正确的是(  )

查看答案和解析>>

科目:高中物理 来源: 题型:


(1)(5分)下列说法中正确的是_________。(填正确答案标号。选对1个得2分,选对2个得4分,选对3个得5分。每选错1个扣3分,最低得分为0分)

A.卢瑟福通过对天然放射现象的研究,提出原子的核式结构学说

B.氡222的衰变方程是,已知其半衰期约为3.8天,则约经过15.2天,16克氡222衰变后还剩1克

C.链式反应中,重核裂变时放出的中子可以使裂变不断进行下去

    D.已知中子、质子和氘核的质量分别为mn、mp和mD,则氘核的比结合能为(c表示真空中的光速)

    E.对于某种金属,超过其极限频率的入射光强度越弱,所逸出的光电子的最大初动能越小

(2)(10分)如图所示,质量为m1=0.2kg小物块A沿水平面与小物块B发生正碰,小物块B的质量m2=1.0kg。已知碰撞前A的速度大小为v0=3.0 m/s,B静止在水平面上,两物块与水平面间的动摩擦因数均为μ=0.2,重力加速度g取10m/s2。试求碰后物块B在水平面上滑行的时间。

查看答案和解析>>

科目:高中物理 来源: 题型:


如图,水平的平行虚线间距为d=60cm,其间有沿水平方向的匀强磁场。一个阻值为R的正方形金属线圈边长l<d,线圈质量m=100g。线圈在磁场上方某一高度处由静止释放,保持线圈平面与磁场方向垂直,其下边缘刚进入磁场和刚穿出磁场时的速度相等。不计空气阻力,取g=10m/s2,则(    )

A.线圈下边缘刚进磁场时加速度最小

B.线圈进入磁场过程中产生的电热为0.6J

C.线圈在进入磁场和穿出磁场过程中,电流均为逆时针方向

D.线圈在进入磁场和穿出磁场过程中,通过导线截面的电量相等

查看答案和解析>>

科目:高中物理 来源: 题型:


北京时间2011年3月11日13时46分,在日本本州岛附近海域发生里氏9.0级强烈地震,地震和海啸引发福岛第一核电站放射性物质泄漏,其中放射性物质碘131的衰变方程为+Y。根据有关放射性知识,下列说法正确的是         (选对一个得3分,选对两个得4分,选对三个得6分,每选错一个扣3分,最低得0分)

A.Y粒子为β粒子

B.若的半衰期大约是8天,取4个碘原子核,经16天就只剩下1个碘原子核了

C.生成的处于激发态,放射γ射线。γ射线的穿透能力最强,电离能力也最强

D.中有53个质子和131个核子

E.如果放射性物质碘131处于化合态,也不会对放射性产生影响

查看答案和解析>>

科目:高中物理 来源: 题型:


如图是质谱仪的工作原理示意图.现有一束几种不同的正离子,经过加速电场加速后,垂直射入速度选择器(速度选择器内有相互正交的匀强电场E和匀强磁场B1),离子束保持原运动方向未发生偏转.接着进入另一匀强磁场B2,发现这些离子分成几束.由此可得结论(  )

 

A.

速度选择器中的磁场方向垂直纸面向内

 

B.

这些离子通过狭缝P的速率都等于

 

C.

这些离子的电量一定不相同

 

D.

这些离子的比荷一定不相同

查看答案和解析>>

科目:高中物理 来源: 题型:


如图所示,虚线是某静电场的一簇等势线,边上标有电势的值.一带电粒子只在电场力作用下恰能沿图中的实线从A经过B运动到C.下列判断正确的是(  )

 

A.

粒子一定带负电

 

B.

A处场强大于C处场强

 

C.

粒子在A处电势能大于在C处电势能

 

D.

粒子从A到B电场力所做的功大于从B到C电场力所做的功

查看答案和解析>>

科目:高中物理 来源: 题型:


如图,是法拉第研宄电磁感应现象的出验装罝,将两个线圈绕在同一个铁环上.,线圈A与直流电源和开关S组成冋路,线圈B与电流计组成闭合回路.当开关S接通的瞬间,电流计中 有  (填“有”或“没有”)电流通过;当开关S闭合稳定后,电流计中 没有 (填“有”或“没有”)电流通过.

查看答案和解析>>

同步练习册答案