精英家教网 > 高中物理 > 题目详情

(8 分).已知地球同步卫星离地面的高度约为地球半径的6倍。若某行星的平均密度为地球平均密度的一半,它的同步卫星距其表面的高度是其半径的2.5倍,求:该行星的自转周期。

 

【答案】

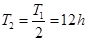
12h

【解析】

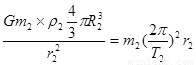
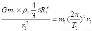
试题分析:地球的同步卫星的周期为T1=24小时,轨道半径为r1=7R1,密度ρ1。某行星的同步卫星周期为T2,轨道半径为r2=3.5R2,密度ρ2。根据牛顿第二定律和万有引力定律分别有

     (3分)

     (3分)

两式化简得     (2分)

考点:万有引力定律的应用.

 

练习册系列答案
相关习题

科目:高中物理 来源: 题型:

2007年北京时间11月7日早上8时34分,总重量达2300kg的探月卫星“嫦娥一号”成功实施第三次近月制动,进入周期为127分钟的圆形月球极地轨道,由于月球的自转作用,处于月球极地轨道的“嫦娥一号”可以完成包括月球南北极、月球背面的全月探测工作.“嫦娥一号”搭载的CCD相机要对月面南北纬七十度以内范围进行成像,中国国防科工委2008年1月31日宣布,“嫦娥一号”卫得获得月球极区图象并向地面成功传回.已知地球半径为R,地面的重力加速度为g,月球半径为R′,月球质量是地球质量的
181
,“嫦娥一号”在距月球表面高度为h的圆形轨道上做匀速圆周运动.月球绕地球运动简化为匀速圆周运动,求:
(1)月球表面的重力加速度;
(2)“嫦娥一号”距月面高度为h的圆形轨道上做匀速圆周运动的周期.

查看答案和解析>>

科目:高中物理 来源: 题型:

2007年10月24日,我国自主研发的“嫦娥一号”探月卫星发射升空,先后经历调相轨道、地月转移轨道、月球捕获轨道三个阶段(如图所示).于11月5日与月球“相会”,实现了中华民族千年奔月的梦想.根据相关信息,完成下列计算:
(1)10月31日17时28分,“嫦娥一号”卫星发动机关闭,轨道控制结束.卫星进入地月转移轨道.已知地球质量约为月球质量的81倍,地球到月球直线距离约为38万公里,则卫星在地月连线上受到地球和月球引力相等时大约距月球多远?(结果取一位有效数字)
(2)11月7日8点34分“嫦娥一号”第三次近月制动成功,卫星在距月球表面高h的圆形轨道上绕月球做周期T的匀速圆周运动.已知月球的半径R,引力常量G,忽略地球对卫星的引力作用,据此计算月球的质量(用G、T、h、R表示).

查看答案和解析>>

科目:高中物理 来源: 题型:

2003年10月15日9时整,搭载的“神舟”五号载人飞船发射成功,9时42分飞船进入预定轨道,于16日6时23分在内蒙古四子王旗的主着陆场安全着陆,揭开了我国航天史上新的一页.
(1)为了使飞船到达一定速度需要一个加速过程,在加速过程中,宇航员处于超重状态.人们把这种状态下宇航员对座椅的压力FN与静止在地球表面时的重力mg的比值k=FN/mg称为耐受力值.选定两名宇航员,他们在此状态下耐受力最大值分别是k=8和k=7,已知地球表面的重力加速度为g=10m/s2.试求飞船带着这两名宇航员在竖直向上发射时的加速度a的最大值不能超过多少?
(2)“神舟”五号飞船从发射到回收飞行约21h,绕地球14圈.假设把飞船的整个运动过程看作匀速圆周运动,若飞船做圆周运动的周期为T,地球半径为R,地球表面处重力加速度为g. 试导出飞船运行线速度的表达式.

查看答案和解析>>

科目:高中物理 来源: 题型:

2007年10月24日18时05分,嫦娥一号卫星在中国西昌卫星发射中心用长征三号火箭发射成功,从这里开始了自己的奔月之旅,开启了中国深空探测的新历程.已知地球近地卫星的周期约为84分钟,地球的半径为6400km,再根据其他的常识和知识,可以估算出地球和月球之间的距离为(  )

查看答案和解析>>

科目:高中物理 来源: 题型:

科学家经过深入观测研究,发现月球正逐渐离我们远去,并且将越来越暗.有地理学家观察了现存的几种鹦鹉螺化石,发现其贝壳上的波状螺纹具有树木年轮一样的功能,螺纹分许多隔,每隔上波状生长线在30条左右,与现代农历一个月的天数完全相同.观察发现,鹦鹉螺的波状生长线每天长一条,每月长一隔.研究显示,现代鹦鹉螺的贝壳上,生长线是30条,中生代白垩纪是22条,侏罗纪是18条,奥陶纪是9条.已知地球表面的重力加速度为10m/s2,地球半径为6400km,现代月球到地球的距离约为38万公里.始终将月球绕地球的运动视为圆周轨道,由以上条件可以估算奥陶纪月球到地球的距离约为(  )
A、1.7×108mB、8.4×108mC、1.7×107mD、8.4×107m

查看答案和解析>>

同步练习册答案