精英家教网 > 高中物理 > 题目详情
做匀加速直线运动的列车出站时,车头经过站台上的某人面前时速度为v1=1m/s,车尾经过此人面前时速度为v2=7m/s,若此人站着一直未动,则车身中部(中点)经过此人面前时的速度是多少?

见分析
【试题分析】
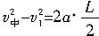
设车尾经过此人时,车前进的距离为车长L,此时有 
车身中部经过此人时,车前进的距离为,此时有
                 
由①②可得
练习册系列答案
相关习题

科目:高中物理 来源: 题型:

在平直轨道上做匀加速直线运动的火车,车头通过铁道旁的某一路标时的速度为v1,车尾通过这个路标时的速度为v2,那么这列火车的中点通过该路标时的速度应为(  )

查看答案和解析>>

科目:高中物理 来源: 题型:

一客车从静止开始以加速度a做匀加速直线运动的同时,在车尾的后面离车头为s m远的地方有一乘客以某一速度正在追赶这列客车.已知司机从车头前面的反光镜内能看到离车头的最远距离为s0 m,保留时间在t0 s内才能看清楚,这样才能制动客车使车停下来,该乘客要想乘坐上这列客车,追赶客车匀速运动的速度所满足条件的表达式是什么?若a=1.0 m/s2,s=30 m,s0=20 m,t0=1.0 s,求v的最小值.

查看答案和解析>>

科目:高中物理 来源: 题型:

有一列做匀加速直线运动的火车,从某时刻开始计时,第1 min内火车前进了240 m,第6 min内火车前进了1140 m,则火车的加速度为(  )

A.0.01 m/s2                            B.0.03 m/s2

C.0.05 m/s2                            D.0.1 m/s2

查看答案和解析>>

科目:高中物理 来源:2015届贵州遵义四中高一上学期期中考试物理试卷(解析版) 题型:选择题

做匀加速直线运动的列车出站时,车头经过站台某点O时速度是1 m/s,车尾经过O点时的速度是7 m/s,则这列列车的中点经过O点时的速度为:

A.5 m/s         B.5.5 m/s          C.4 m/s          D.3.5 m/s

 

查看答案和解析>>

科目:高中物理 来源:2014届度陕西省西安市高一上学期期中考试物理卷 题型:选择题

做匀加速直线运动的列车出站时,车头经过站台某点A的速度为l m/s,车尾经过站台某点A时的速度为7m/s,则这列列车中点经过站台A点的速度为      (   )

A.3.5m/s            B.4.0m/s

C.5m/s             D.5.5m/s

 

查看答案和解析>>

同步练习册答案