精英家教网 > 高中物理 > 题目详情
电机带动水平传送带以速度v匀速运动,一 质量为m的小木块由静止轻放在传送带上,若小木块与传送带之间的动摩擦因数为μ,如图所示,当小木块与传送带相对静止时,求:
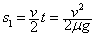
(1)小木块的位移;
(2)传送带转过的路程;
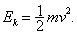
(3)小木块获得的动能;
(4)摩擦过程产生的热;
(5)电机带动传送带匀速转动输出的总能量。

解:对小木块,相对滑动时,由ma=μmg得加速度a=μg,由v= at得,达到相对静止所用时间
(1)小木块的位移
(2)传送带始终匀速运动,转过的路程
(3)小木块获得的动能
(4)摩擦产生的热
(5)由能的转化和守恒定律知,电机输出的总能量转化为小木块的动能与摩擦产生的内能,所以E=Ek+Q=mv2.
练习册系列答案
相关习题

科目:高中物理 来源: 题型:

电机带动水平传送带以速度v匀速运动,一质量为m的小木块由静止轻放在传送带上,如图所示.则到小木块与传送带相对静止时,在这段时间内电动机带动传送带匀速转动输出的总能量为(皮带与转轮不打滑)(  )

查看答案和解析>>

科目:高中物理 来源: 题型:

电机带动水平传送带以速度v匀速传动,一质量为m的小木块由静止轻放在传送带上,若小木块与传送带之间的动摩擦因数为μ,如图5-10-6所示,当小木块与传送带相对静止时,求:

5-10-6

(1)小木块的位移;

(2)传送带转过的路程;

(3)小木块获得的动能;

(4)摩擦过程产生的摩擦热;

(5)电机带动传送带匀速转动输出的总能量.

查看答案和解析>>

科目:高中物理 来源: 题型:

电机带动水平传送带以速度v匀速转动,一质量为m的小木块由静止轻放在传送带上,若小木块与传送带之间的动摩擦因数为μ,如图7-9-2所示,当小木块与传送带相对静止时,求:

图7-9-2

(1)小木块的位移;

(2)传送带转过的路程;

(3)小木块获得的动能;

(4)摩擦过程产生的摩擦热;

(5)电机带动传送带匀速转动输出的总能量.

查看答案和解析>>

科目:高中物理 来源:2012-2013学年黑龙江省牡丹江一中高一下学期期末考试物理试卷(带解析) 题型:单选题

电机带动水平传送带以速度v匀速运动,一质量为m的小木块由静止轻放在传送带上,如图所示。则到小木块与传送带相对静止时,在这段时间内电动机带动传送带匀速转动输出的总能量为(皮带与转轮不打滑)(  )

A.B.
C.D.不知摩擦因数,无法判断

查看答案和解析>>

科目:高中物理 来源:2015届黑龙江省高一下学期期末考试物理试卷(解析版) 题型:选择题

电机带动水平传送带以速度v匀速运动,一质量为m的小木块由静止轻放在传送带上,如图所示。则到小木块与传送带相对静止时,在这段时间内电动机带动传送带匀速转动输出的总能量为(皮带与转轮不打滑)(  )

A.                             B.

C.                              D.不知摩擦因数,无法判断

 

查看答案和解析>>

同步练习册答案