精英家教网 > 高中物理 > 题目详情

氢原子处于基态时,原子能量E1=-13.6 eV,已知电子电量e=1.6×10-19 C,电子质量m=0.91×10-30 kg,氢的核外电子的第一条可能轨道的半径为r1=0.53×10-10 m.

(1)若要使处于n=3的氢原子电离,至少要用频率多大的光子照射氢原子?

(2)氢原子核外电子的绕核运动可等效为一环形电流,则氢原子处于n=3的定态时,核外电子运动的等效电流多大?

(3)若已知钠的极限频率为6.00×1014 Hz,今用一群处于n=5的激发态的氢原子发射的光谱照射钠,试通过计算说明有哪几条谱线可使钠发生光电效应?

答案:
解析:

  解:(1)要使处于n=3的氢原子电离,照射光光子的能量应能使电子从第3能级跃迁到无限远处,最小频率的电磁波的光子能量应为:hv=0-(-)

  得v=3.65×1016 Hz,

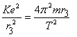
  (2)氢原子核外电子绕核做匀速圆周运动,库伦力作向心力,

  有 ①

  其中r3=9r1

  根据电流强度的定义 ②

  由①②得 ③

  将数据代入③得I=3.85×10-5 A

  (3)由于钠的极限频率为6.00×1014 Hz,则使钠发生光电效应的光子的能量至少为

  eV=2.486 eV

  一群处于n=5的激发态的氢原子发射的光子,要使钠发生光电效应,应使跃迁时两能级的差,所以在10条光谱线中有E51,E526条谱线可使钠发生光电效应.


练习册系列答案
相关习题

科目:高中物理 来源: 题型:

(2009?湛江二模)氢原子的能级公式为En=
E1
n2
,E1表示氢原子处于基态时的能量,一群氢原了处于n=4的激发态,当它们自发地跃迁到较低的能级时(  )

查看答案和解析>>

科目:高中物理 来源: 题型:

[物理――选修3-5]

(1) 放射性元素的原子核连续经过三次α衰变和两次β衰变.若最后变成另一种元素的原子核Y,则新核Y的正确写法是

A.         B.     C.         D.

(2) 现有一群处于n=4能级上的氢原子,已知氢原子的基态能量E1=-13.6 eV,氢原子处于基态时电子绕核运动的轨道半径为r,静电力常量为k,普朗克常量h=6.63×1034 J·s.则电子在n=4的轨道上运动的动能是     J;这群氢原子发出的光子的最大频率是      Hz。

(3)如图所示,光滑水平面上有一辆质量为M=1 kg的小车,小车的上表面有一个质量为m=0.9 kg的滑块,在滑块与小车的挡板间用轻弹簧相连接,滑块与小车上表面间的动摩擦因数为μ=0.2,整个系统一起以v1=10 m/s的速度向右做匀速直线运动.此时弹簧长度恰好为原长.现在用质量为m0=0.1 kg的子弹,以v0=50 m/s的速度向左射入滑块且不穿出,所用时间极短.已知当弹簧压缩到最短时的弹性势能为Ep=8.6 J.(g取10m/s2)求:

(ⅰ)子弹射入滑块的瞬间滑块的速度;

(ⅱ)从子弹射入到弹簧压缩最短,滑块在车上滑行的距离.

查看答案和解析>>

科目:高中物理 来源: 题型:

[物理――选修3-5](27分)

(1) (5分)放射性元素的原子核连续经过三次α衰变和两次β衰变.若最后变成另一种元素的原子核Y,则新核Y的正确写法是

A.        B.     C.        D.

(2) (6分) 现有一群处于n=4能级上的氢原子,已知氢原子的基态能量E1=-13.6 eV,氢原子处于基态时电子绕核运动的轨道半径为r,静电力常量为k,普朗克常量h=6.63×1034 J·s.则电子在n=4的轨道上运动的动能是    J;这群氢原子发出的光子的最大频率是      Hz。

(3)(16分)如图所示,光滑水平面上有一辆质量为M=1 kg的小车,小车的上表面有一个质量为m=0.9 kg的滑块,在滑块与小车的挡板间用轻弹簧相连接,滑块与小车上表面间的动摩擦因数为μ=0.2,整个系统一起以v1=10 m/s的速度向右做匀速直线运动.此时弹簧长度恰好为原长.现在用质量为m0=0.1 kg的子弹,以v0=50 m/s的速度向左射入滑块且不穿出,所用时间极短.已知当弹簧压缩到最短时的弹性势能为Ep=8.6 J.(g取10m/s2)求:

(ⅰ)子弹射入滑块的瞬间滑块的速度;

(ⅱ)从子弹射入到弹簧压缩最短,滑块在车上滑行的距离.

 

查看答案和解析>>

科目:高中物理 来源:2010年大连市长海高中高二下学期期末考试(重点班)物理试题 题型:计算题

[物理――选修3-5](27分)
(1) (5分)放射性元素的原子核连续经过三次α衰变和两次β衰变.若最后变成另一种元素的原子核Y,则新核Y的正确写法是

A.B.C.D.
(2) (6分) 现有一群处于n=4能级上的氢原子,已知氢原子的基态能量E1=-13.6 eV,氢原子处于基态时电子绕核运动的轨道半径为r,静电力常量为k,普朗克常量h=6.63×1034J·s.则电子在n=4的轨道上运动的动能是    J;这群氢原子发出的光子的最大频率是     Hz。
(3)(16分)如图所示,光滑水平面上有一辆质量为M=1 kg的小车,小车的上表面有一个质量为m=0.9 kg的滑块,在滑块与小车的挡板间用轻弹簧相连接,滑块与小车上表面间的动摩擦因数为μ=0.2,整个系统一起以v1=10 m/s的速度向右做匀速直线运动.此时弹簧长度恰好为原长.现在用质量为m0=0.1 kg的子弹,以v0=50 m/s的速度向左射入滑块且不穿出,所用时间极短.已知当弹簧压缩到最短时的弹性势能为Ep=8.6 J.(g取10m/s2)求:
(ⅰ)子弹射入滑块的瞬间滑块的速度;
(ⅱ)从子弹射入到弹簧压缩最短,滑块在车上滑行的距离.

查看答案和解析>>

科目:高中物理 来源:2010年大连市高二下学期期末考试(重点班)物理试题 题型:计算题

[物理――选修3-5](27分)

(1) (5分)放射性元素的原子核连续经过三次α衰变和两次β衰变.若最后变成另一种元素的原子核Y,则新核Y的正确写法是

A.         B.     C.         D.

(2) (6分) 现有一群处于n=4能级上的氢原子,已知氢原子的基态能量E1=-13.6 eV,氢原子处于基态时电子绕核运动的轨道半径为r,静电力常量为k,普朗克常量h=6.63×1034 J·s.则电子在n=4的轨道上运动的动能是     J;这群氢原子发出的光子的最大频率是      Hz。

(3)(16分)如图所示,光滑水平面上有一辆质量为M=1 kg的小车,小车的上表面有一个质量为m=0.9 kg的滑块,在滑块与小车的挡板间用轻弹簧相连接,滑块与小车上表面间的动摩擦因数为μ=0.2,整个系统一起以v1=10 m/s的速度向右做匀速直线运动.此时弹簧长度恰好为原长.现在用质量为m0=0.1 kg的子弹,以v0=50 m/s的速度向左射入滑块且不穿出,所用时间极短.已知当弹簧压缩到最短时的弹性势能为Ep=8.6 J.(g取10m/s2)求:

(ⅰ)子弹射入滑块的瞬间滑块的速度;

(ⅱ)从子弹射入到弹簧压缩最短,滑块在车上滑行的距离.

 

查看答案和解析>>

同步练习册答案