Ö±Á¢Çᵯ»ÉµÄ϶ËÓëˮƽµØÃæÉÏÖÊÁ¿ÎªM£½0.20 kgµÄ¼×ľ¿éÓëÁ¬½Ó£¬Çᵯ»ÉÉ϶˾²Ö¹ÓÚAµã(Èçͼ1)£¬ÔÙ½«ÖÊÁ¿Ò²ÎªM£½0.20 kgÒÒľ¿éÓ뵯»ÉµÄÉ϶ËÁ¬½Ó£¬µ±¼×¡¢ÒÒ¼°µ¯»É¾ù´¦ÓÚ¾²Ö¹×´Ì¬Ê±£¬µ¯»ÉÉ϶ËλÓÚBµã(Èçͼ2)£®ÏÖÏòÏÂÓÃÁ¦Ñ¹ÒÒ£¬µ±µ¯»ÉÉ϶ËϽµµ½Cµãʱ½«µ¯»ÉËø¶¨£¬C¡¢AÁ½µã¼äµÄ¾àÀëΪ¦¤l£½6.0 cm£®Ò»¸öÖÊÁ¿Îªm£½0.10 kgµÄСÇò±û´Ó¾àÀëÒÒÕýÉÏ·½h£½0.45 m´¦×ÔÓÉÂäÏÂ(Èçͼ3)£¬µ±±ûÓëÒÒ¸Õ½Ó´¥Ê±£¬µ¯»ÉÁ¢¼´±»½â³ýËø¶¨£¬Ö®ºó£¬±ûÓëÒÒ·¢Éúµ¯ÐÔÅöײ(Åöײʱ¼ä¼«¶Ì)£¬ÅöײºóÈ¡×ßСÇò±û£¬µ±¼×µÚÒ»´Î¸ÕÀ뿪µØÃæÊ±ÒÒµÄËÙ¶ÈΪv£½2.0 m/s£®Çó´Óµ¯»É±»½â³ýËø¶¨ÖÁ¼×µÚÒ»´Î¸ÕÀ뿪µØÃæÊ±£¬µ¯»Éµ¯ÐÔÊÆÄܵĸıäÁ¿£®(g£½10 m/s2)

´ð°¸£º
½âÎö£º

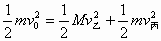
¡¡¡¡½â£ºÉè±û×ÔÓÉÏÂÂähʱËÙ¶ÈΪ£¬¸ù¾Ý×ÔÓÉÂäÌåÔ˶¯¹æÂÉ¡¡m/s¡¡¡¡¢Ù¡¡¡¡2·Ö

¡¡¡¡½â³ýËø¶¨ºó£¬ÒÒÓë±û·¢Éúµ¯ÐÔÅöײ£¬ÉèÅöºóÒÒ¡¢±ûµÄËÙ¶È·Ö±ðΪ£¬¸ù¾Ý¶¯Á¿Êغ㶨ÂÉ

¡¡¡¡¡¡¡¡¢Ú¡¡¡¡2·Ö

¡¡¡¡¸ù¾Ý¶¯ÄÜÊØºã¡¡¡¡¢Û¡¡¡¡2·Ö

¡¡¡¡ÁªÁ¢¢Ù¢Ú¢Û½âµÃ¡¡(ÉáÈ¥)¡¡¡¡¡¡¢Ü¡¡2·Ö

¡¡¡¡Åöºó£¬ÒÒÁ¢¼´ÒÔm/sµÄËÙ¶È´ÓCµãÏòÏÂÔ˶¯£¬´Ó´ËʱÆðÖ±µ½¼×µÚÒ»´Î¸ÕÀ뿪µØÃæµÄʱ¼äÄÚ£¬ÒÒÔÚ×ÔÉíÖØÁ¦ºÍµ¯»Éµ¯Á¦µÄ¹²Í¬×÷ÓÃÏÂÒÔBµãΪƽºâλÖÃ×ö¼òгÔ˶¯(Èçͼ)£®

¡¡¡¡µ±ÒÒµÚÒ»´Î»Øµ½Æ½ºâλÖÃBʱ£¬µ¯»ÉÏà¶ÔÔ­³¤µÄѹËõÁ¿(ͼ2)¡¡¡¡¢Ý¡¡¡¡1·Ö

¡¡¡¡µ±¼×µÚÒ»´Î¸ÕÀ뿪µØÃæÊ±£¬µ¯»ÉÏà¶ÔÔ­³¤µÄÉ쳤Á¿(ͼ4)¡¡¡¡¡¡¡¡¢Þ1·Ö

¡¡¡¡ÓÉÓÚ¼×µÚÒ»´Î¸ÕÀ뿪µØÃæÊ±ÒÒµÄËÙ¶ÈΪv£½2.0 m/s£¬vºÍµÈ´ó·´Ïò£¬ËùÒÔ¸ù¾Ý¼òгÕñ¶¯µÄ¶Ô³ÆÐÔ¿ÉÖª¡¡¡¡¡¡¢ß¡¡¡¡2·Ö

¡¡¡¡¹Êcm¡¡¡¡¢à¡¡¡¡2·Ö

¡¡¡¡´ÓÅöײ½áÊøÖÁ¼×µÚÒ»´Î¸ÕÀ뿪µØÃæÊ±£¬¶ÔÓÚÒҺ͵¯»É×é³ÉµÄϵͳ£¬¶¯Äܱ仯Á¿Îª

¡¡¡¡

¡¡¡¡¸ù¾Ý¹¦ÄܹØÏµ£¬ÏµÍ³ÖØÁ¦ÊÆÄܵÄÔö¼ÓÁ¿µÈÓÚµ¯ÐÔÊÆÄܵļõÉÙÁ¿

¡¡¡¡¡¡¡¡¢á¡¡¡¡2·Ö

¡¡¡¡ÖØÁ¦ÊÆÄܵÄÔö¼ÓÁ¿¡¡¡¡¢â¡¡¡¡2·Ö

¡¡¡¡ËùÒÔµ¯»Éµ¯ÐÔÊÆÄܵļõÉÙÁ¿ÎªJ¡¡¡¡2·Ö


Á·Ï°²áϵÁдð°¸
Ïà¹ØÏ°Ìâ

¿ÆÄ¿£º¸ßÖÐÎïÀí À´Ô´£º ÌâÐÍ£º

£¨2008?Î人һ죩ֱÁ¢Çᵯ»ÉµÄ϶ËÓëˮƽµØÃæÉÏÖÊÁ¿ÎªM=0.20kgµÄ¼×ľ¿éÓëÁ¬½Ó£¬Çᵯ»ÉÉ϶˾²Ö¹ÓÚAµã£¨Èçͼ1£©£¬ÔÙ½«ÖÊÁ¿Ò²ÎªM=0.20kgÒÒľ¿éÓ뵯»ÉµÄÉ϶ËÁ¬½Ó£¬µ±¼×¡¢ÒÒ¼°µ¯»É¾ù´¦ÓÚ¾²Ö¹×´Ì¬Ê±£¬µ¯»ÉÉ϶ËλÓÚBµã£¨Èçͼ2£©£®ÏÖÏòÏÂÓÃÁ¦Ñ¹ÒÒ£¬µ±µ¯»ÉÉ϶ËϽµµ½Cµãʱ½«µ¯»ÉËø¶¨£¬C¡¢AÁ½µã¼äµÄ¾àÀëΪ¡÷l=6.0cm£®Ò»¸öÖÊÁ¿Îªm=0.10kgµÄСÇò±û´Ó¾àÀëÒÒÕýÉÏ·½h=0.45m´¦×ÔÓÉÂäÏ£¨Èçͼ3£©£¬µ±±ûÓëÒÒ¸Õ½Ó´¥Ê±£¬µ¯»ÉÁ¢¼´±»½â³ýËø¶¨£¬Ö®ºó£¬±ûÓëÒÒ·¢Éúµ¯ÐÔÅöײ£¨Åöײʱ¼ä¼«¶Ì£©£¬ÅöײºóÈ¡×ßСÇò±û£¬µ±¼×µÚÒ»´Î¸ÕÀ뿪µØÃæÊ±ÒÒµÄËÙ¶ÈΪv=2.0m/s£®Çó´Óµ¯»É±»½â³ýËø¶¨ÖÁ¼×µÚÒ»´Î¸ÕÀ뿪µØÃæÊ±£¬µ¯»Éµ¯ÐÔÊÆÄܵĸıäÁ¿£®£¨g=10m/s2£©

²é¿´´ð°¸ºÍ½âÎö>>

¿ÆÄ¿£º¸ßÖÐÎïÀí À´Ô´£º ÌâÐÍ£º

Ö±Á¢Çᵯ»ÉµÄ϶ËÓëˮƽµØÃæÉÏÖÊÁ¿ÎªM=0.20kgµÄ¼×ľ¿éÓëÁ¬½Ó£¬Çᵯ»ÉÉ϶˾²Ö¹ÓÚAµã£¨Èçͼ¼×£©£¬ÔÙ½«ÖÊÁ¿Ò²ÎªM=0.20kgÒÒľ¿éÓ뵯»ÉµÄÉ϶ËÁ¬½Ó£¬µ±¼×¡¢ÒÒ¼°µ¯»É¾ù´¦ÓÚ¾²Ö¹×´Ì¬Ê±£¬µ¯»ÉÉ϶ËλÓÚBµã£¨ÈçͼÒÒ£©£®ÏÖÏòÏÂѹÒÒ£¬µ±µ¯»ÉÉ϶ËϽµµ½Cµãʱ½«µ¯»ÉËø¶¨£¬ÕâʱC¡¢AÁ½µã¼äµÄ¾àÀëΪ¡÷l=6.0cm£®Ò»¸öÖÊÁ¿Îªm=0.10kgµÄСÇò±û´Ó¾àÀëÒÒÕýÉÏ·½h=0.45m´¦×ÔÓÉÂäÏ£¨Èçͼ±û£©£¬µ±±ûÓëÒÒ¸Õ½Ó´¥Ê±£¬µ¯»ÉÁ¢¼´±»½â³ýËø¶¨£¬±ûÓëÒÒ·¢Éúµ¯ÐÔÅöײ£¨Åöײʱ¼ä¼«¶Ì£¬±û¡¢ÒÒ¼äµÄ×÷ÓÃÁ¦Ô¶´óÓÚÖØÁ¦ºÍµ¯»Éµ¯Á¦£©£¬ÅöײºóÁ¢¼´È¡×ßСÇò±û£®µ±¼×µÚÒ»´Î¸ÕÀ뿪µØÃæÊ±ÒÒµÄËÙ¶ÈΪv=2.0m/s£®Çó£º
£¨1£©Åöײ¸Õ½áÊøµÄ˲¼ä£¬±ûÇò¡¢ÒÒľ¿éµÄËÙ¶Èv1¡¢v2µÄ´óСºÍ·½Ïò£»
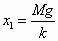
£¨2£©·ÅÉÏÒÒÎïÌåºó£¬Æ½ºâʱµ¯»ÉÉ϶ËBµã£¨Í¼2ÖУ©µ½AµãµÄ¾àÀëx1£»
£¨3£©´Óµ¯»É±»½â³ýËø¶¨ÖÁ¼×µÚÒ»´Î¸ÕÀ뿪µØÃæÊ±£¬µ¯»Éµ¯ÐÔÊÆÄܵĸıäÁ¿¡÷EP£®£¨g=10m/s2£©

²é¿´´ð°¸ºÍ½âÎö>>

¿ÆÄ¿£º¸ßÖÐÎïÀí À´Ô´£º ÌâÐÍ£º

£¨08ÄêÖØÇìÒ»ÖÐһ죩£¨20·Ö£©Ö±Á¢Çᵯ»ÉµÄ϶ËÓëˮƽµØÃæÉÏÖÊÁ¿ÎªM=0.20kgµÄ¼×ľ¿éÁ¬½Ó£¬Çᵯ»ÉÉ϶˾²Ö¹ÓÚAµã£¨Èçͼ1£©£¬ÔÙ½«ÖÊÁ¿Ò²ÎªM=0.20kgÒÒľ¿éÓ뵯»ÉµÄÉ϶ËÁ¬½Ó£¬µ±¼×¡¢ÒÒ¼°µ¯»É¾ù´¦ÓÚ¾²Ö¹×´Ì¬Ê±£¬µ¯»ÉÉ϶ËλÓÚBµã£¨Èçͼ2£©¡£ÏÖÏòÏÂÓÃÁ¦Ñ¹ÒÒ£¬µ±µ¯»ÉÉ϶ËϽµµ½Cµãʱ½«µ¯»ÉËø¶¨£¬C¡¢AÁ½µã¼äµÄ¾àÀëΪ¡÷l=0.06m¡£Ò»¸öÖÊÁ¿Îªm=0.10kgµÄСÇò±û´Ó¾àÀëÒÒÕýÉÏ·½h=0.45m´¦×ÔÓÉÂäÏ£¨Èçͼ3£©£¬µ±±ûÓëÒÒ¸Õ½Ó´¥Ê±£¬µ¯»ÉÁ¢¼´±»½â³ýËø¶¨£¬±ûÓëÒÒ·¢Éúµ¯ÐÔÅöײ£¨Åöײʱ¼ä¼«¶Ì£©£¬ÅöײºóÁ¢¼´È¡×ßСÇò±û£¬ÒÒ½«ÔÚÊúÖ±·½Ïò×ö¼òгÕñ¶¯¡£ÒÑÖªµ±¼×µÚÒ»´Î¸ÕÀ뿪µØÃæÊ±ÒÒµÄËÙ¶ÈΪv=2.0m/s¡£Çó

    £¨1£©±ûÓëÒÒ·¢Éúµ¯ÐÔÅöײºó¸÷×ÔµÄËÙ¶ÈvÒÒ¡¢v±û £»

£¨2£©´Óµ¯»É±»½â³ýËø¶¨ÖÁ¼×µÚÒ»´Î¸ÕÀ뿪µØÃæÊ±£¬µ¯»Éµ¯ÐÔÊÆÄܵĸıäÁ¿¡££¨g=10m/s2£©

 

 

 

 

²é¿´´ð°¸ºÍ½âÎö>>

¿ÆÄ¿£º¸ßÖÐÎïÀí À´Ô´£º ÌâÐÍ£º

ÈçͼËùʾ£¬Ö±Á¢Çᵯ»ÉµÄ϶ËÓëˮƽµØÃæÉÏÖÊÁ¿Îª2mµÄ¼×ľ¿éÁ¬½Ó£¬É϶ËÓëÖÊÁ¿ÎªmµÄÒÒľ¿éÁ¬½Ó£¬µ±¼×¡¢ÒÒľ¿é¼°µ¯»É¾ù´¦ÓÚ¾²Ö¹×´Ì¬Ê±£¬µ¯»É±»Ñ¹ËõÁËh£¬ÏÖ½«Ò»ÏðƤÄàÖÆ³ÉµÄÖÊÁ¿Îª2mµÄСÇò´ÓÒÒľ¿éÕýÉÏ·½H´¦×ÔÓÉÂäÏ£¬ÓëÒÒľ¿éÅöºóÕ³ÔÚÒ»Æð£¬µ±ÒÒľ¿éÓëÏðƤÄàСÇòÒ»ÆðÔ˶¯µ½×î¸ßµãʱ£¬¼×ľ¿éǡҪÀ뿪µØÃæ¡£ÏÖ½«ÏðƤÄàСÇò»»ÎªµÈÖÊÁ¿µÄµ¯ÐÔСÇò£¬ÈÔ´ÓÒÒľ¿éÕýÉÏ·½H´¦×ÔÓÉÂäÏ£¬µ±µ¯ÐÔСÇòÓëÒÒľ¿éÅöºóѸËÙ½«µ¯ÐÔСÇòÄÃ×ߣ¬Çóµ±¼×ľ¿é¸ÕÒªÀ뿪µØÃæÊ±£¬ÒÒľ¿éµÄËÙ¶È´óС¡££¨Ð¡Çò´óС²»¼Æ£¬ÓëÒÒľ¿éÅöײʱ¼äºÜ¶Ì£¬Õû¸ö¹ý³Ìµ¯»É¾ù´¦ÔÚµ¯ÐÔÏÞ¶ÈÄÚ£¬ÖØÁ¦¼ÓËÙ¶ÈΪg£©

²é¿´´ð°¸ºÍ½âÎö>>

¿ÆÄ¿£º¸ßÖÐÎïÀí À´Ô´£º ÌâÐÍ£º

Ö±Á¢Çᵯ»ÉµÄ϶ËÓëˮƽµØÃæÉÏÖÊÁ¿ÎªM=0£¬20kgµÄ¼×ľ¿éÁ¬½Ó£¬Çᵯ»ÉÉ϶˾²Ö¹ÓÚAµã£¨Èçͼ1£©£¬ÔÙ½«ÖÊÁ¿Ò²ÎªM=0.20kgÒÒľ¿éÓ뵯»ÉµÄÉ϶ËÁ¬½Ó£¬µ±¼×¡¢ÒÒ¼°µ¯»É¾ù´¦ÓÚ¾²Ö¹×´Ì¬Ê±£¬µ¯»ÉÉ϶ËλÓÚBµã£¨Èçͼ2£©¡£ÏÖÏòÏÂÓÃÁ¦Ñ¹ÒÒ£¬µ±µ¯»ÉÉ϶ËϽµµ½Cµãʱ½«µ¯»ÉËø¶¨£¬C¡¢AÁ½µã¼äµÄ¾àÀëΪ¡÷l=6.0cm¡£Ò»¸öÖÊÁ¿Îªm=0.10kgµÄСÇò±û´Ó¾àÀëÒÒÕýÉÏ·½h=0.45m´¦×ÔÓÉÂäÏ£¨Èçͼ3£©£¬µ±±ûÓëÒÒ¸Õ½Ó´¥Ê±£¬µ¯»ÉÁ¢¼´±»½â³ýËø¶¨£¬Ö®ºó£¬±ûÓëÒÒ·¢Éúµ¯ÐÔÅöײ£¨Åöײʱ¼ä¼«¶Ì£©£¬ÅöײºóÈ¡×ßСÇò±û£¬µ±¼×µÚÒ»´Î¸ÕÀ뿪µØÃæÊ±ÒÒµÄËÙ¶ÈΪv=2.0m/s¡£Çó´Óµ¯»É±»½â³ýËø¶¨ÖÁ¼×µÚÒ»´Î¸ÕÀ뿪µØÃæÊ±£¬µ¯»Éµ¯ÐÔÊÆÄܵĸıäÁ¿¡££¨g=10m/s2£©

²é¿´´ð°¸ºÍ½âÎö>>

ͬ²½Á·Ï°²á´ð°¸