精英家教网 > 高中物理 > 题目详情

在导热的气缸内用质量不计的轻活塞,封闭一定质量的理想气体,活塞可沿气缸无摩擦地滑动,开始气缸开口向上竖直放置,活塞相对于底部的高度为L.现缓慢向活塞上加沙粒,活塞距缸底的距离减少L/3,外界大气的压强为P0,温度始终保持不变,活塞面积为s.求:

(1)最后缸内气体压强多大,所加沙粒的质量多大;

(2)从微观角度解释气体压强变化的原因;

答案:
解析:

  解析:开始气体的压强为p0,气体体积为v1sL

  加上沙子的质量为m,气体压强为p,气体体积为v2由玻意耳定律得

  p0Lsp;①

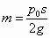
  加沙子后由平衡方程:PP0mg/s

  由①②式得

  (2)温度不变分子热运动的平均动能不变,体积减小,单位体积内的分子数增加,分子密集程度增大,气体压强变大.


练习册系列答案
相关习题

科目:高中物理 来源: 题型:

在导热的气缸内用质量不计的轻活塞,封闭一定质量的理想气体,活塞可沿气缸无摩擦地滑动,开始气缸开口向上竖直放置,活塞相对于底部的高度为h.现缓慢向活塞上加沙粒,活塞距缸底的距离减少h/4,外界大气的压强为P0,温度始终保持不变,活塞面积为s.求:
(1)最后缸内气体压强多大,所加沙粒的质量多大;
(2)从微观角度解释气体压强变化的原因;
(3)在此过程中缸内气体是吸热还是放热,为什么.

查看答案和解析>>

科目:高中物理 来源:山东省潍坊市三县2010-2011学年高二下学期模块学分认定考试物理试题 题型:038

在导热的气缸内用质量不计的轻活塞,封闭一定质量的理想气体,活塞可沿气缸无摩擦地滑动,开始气缸开口向上竖直放置,活塞相对于底部的高度为h.现缓慢向活塞上加沙粒,活塞距缸底的距离减少h/4,外界大气的压强为P0,温度始终保持不变,活塞面积为s.求:

(1)最后缸内气体压强多大,所加沙粒的质量多大;

(2)从微观角度解释气体压强变化的原因;

(3)在此过程中缸内气体是吸热还是放热,为什么.

查看答案和解析>>

科目:高中物理 来源:不详 题型:问答题

在导热的气缸内用质量不计的轻活塞,封闭一定质量的理想气体,活塞可沿气缸无摩擦地滑动,开始气缸开口向上竖直放置,活塞相对于底部的高度为h.现缓慢向活塞上加沙粒,活塞距缸底的距离减少h/4,外界大气的压强为P0,温度始终保持不变,活塞面积为s.求:
(1)最后缸内气体压强多大,所加沙粒的质量多大;
(2)从微观角度解释气体压强变化的原因;
(3)在此过程中缸内气体是吸热还是放热,为什么.

查看答案和解析>>

科目:高中物理 来源:2010-2011学年山东省潍坊市三县联考高二(下)模块物理试卷(选修3-1)(解析版) 题型:解答题

在导热的气缸内用质量不计的轻活塞,封闭一定质量的理想气体,活塞可沿气缸无摩擦地滑动,开始气缸开口向上竖直放置,活塞相对于底部的高度为h.现缓慢向活塞上加沙粒,活塞距缸底的距离减少h/4,外界大气的压强为P,温度始终保持不变,活塞面积为s.求:
(1)最后缸内气体压强多大,所加沙粒的质量多大;
(2)从微观角度解释气体压强变化的原因;
(3)在此过程中缸内气体是吸热还是放热,为什么.

查看答案和解析>>

同步练习册答案