精英家教网 > 高中物理 > 题目详情

(25分)一质量为m的小滑块A沿斜坡由静止开始下滑,与一质量为km的静止在水平地面上的小滑块B发生正碰撞,如图所示.设碰撞是弹性的,且一切摩擦不计.为使二者能且只能发生两次碰撞,则k的值应满足什么条件?

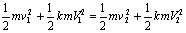
设A与B碰撞前A的速度为v0,碰后A与B的速度分别为v1与V1,由动量守恒及机械能守恒定律有

(1)

(2)

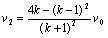
由此解得

(3)

(4)

为使A能回到坡上,要求v1<0,这导致k>1;为使A从坡上滑下后再能追上B,应有,即,这导致,于是,为使第二次碰撞能发生,要求

k > 3 (5)

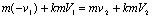
对于第二次碰撞,令v2和V2分别表示碰后A和B的速度,同样由动量守恒及机械能守恒定律有:

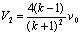
由此解得

(6)

(7)

若v2>0,则一定不会发生第三次碰撞,若v2<0,且,则会发生第三次碰撞.故为使第三次碰撞不会发生,要求A第三次从坡上滑下后速度的大小不大于B速度的大小,即

(8)

由(6)、(7)、(8)式得

   (9)

k2-10 k + 5 = 0

可求得

(9)式的解为

      (10)

(10)与(5)的交集即为所求:

     (11)


练习册系列答案
相关习题

科目:高中物理 来源: 题型:

如图所示,在距水平地面高为h处有一半径为R的1/4圆弧轨道,圆弧轨道位于竖直平面内,轨道光滑且末端水平,在轨道的末端静置一质量为m的小滑块A.现使另一质量为m的小滑块B从轨道的最高点由静止释放,并在轨道的最低点与滑块A发生碰撞,碰后粘合为一个小滑块C已知重力加速度为g.求:
(1)滑块C对轨道末端的压力大小.
(2)滑块C在水平面上的落地点与轨道末端的水平距离.

查看答案和解析>>

科目:高中物理 来源: 题型:

(2011?湖南模拟)(1)现有a、b、c三束单色光,其波长关系为λa>λb>λt,用b光束照射某种金属时,恰能发生光电效应.若分别用a、b、c光束照射该金属,则可以断定
AD
AD
.(填入选项前的字母)
A.a光束照射时,不能发生光电效应
B.c光束照射时,不能发生光电效应
C.a光束照射时,释放出的光电子数目最多
D.c光束照射时,释放出的光电子的最大初动能最大
(2)如图所示,一质量为m的长木板B放在光滑水平面上,在其右端放一质量为M的小滑块A(可视为质点),m<M,A、B间的动摩擦因数为μ,现给A和B以大小相等、方向相反的初速度v0,使A开始向左运动,B开始向右运动,最后A不会滑离B,设重力加速度为g,求
①A、B最后的速度大小和方向;
②长木板B向右运动到离出发点最远处时小滑块A的速度大小和所经历的时间.

查看答案和解析>>

科目:高中物理 来源: 题型:

精英家教网一质量为m的小滑块A沿斜坡由静止开始下滑,与一质量为km的静止在水平地面上的小滑块B发生正碰撞,如图所示.设碰撞是弹性的,且一切摩擦不计.为使二者能且只能发生两次碰撞,则k的值应满足什么条件?

查看答案和解析>>

科目:高中物理 来源: 题型:

如图12所示,在距水平地面高为h处有一半径为R的1/4圆弧轨道,圆弧轨道位于竖直平面内,轨道光滑且末端水平,在轨道的末端静置一质量为m的小滑块A。现使另一质量为m的小滑块B从轨道的最高点由静止释放,并在轨道的最低点与滑块A发生碰撞,碰后粘合为一个小滑块C。已知重力加速度为g。求:

(1)滑块C对轨道末端的压力大小。

(2)滑块C在水平地面上的落地点与轨道末端的水平距离。

 

查看答案和解析>>

科目:高中物理 来源: 题型:

如图1-3-17所示,在距水平地面高为h处有一半径为R的1/4圆弧轨道,圆弧轨道位于竖直平面内,轨道光滑且末端水平,在轨道的末端静置一质量为m的小滑块A.现使另一质量为m的小滑块B从轨道的最高点由静止释放,并在轨道的最低点与滑块A发生碰撞,碰后粘合为一个小滑块C.已知重力加速度为g.求:

图1-3-17

(1)滑块C对轨道末端的压力大小;

(2)滑块C在水平地面上的落地点与轨道末端的水平距离.

查看答案和解析>>

同步练习册答案