精英家教网 > 高中物理 > 题目详情
如图所示,某人乘雪橇从雪坡上经A 点滑至B 点,接着沿水平路面滑至C 点停止.人与雪橇 的总质量为70kg .下表记录了沿坡下滑过程中的有关数据,请根据图表中的数据解决下列问题:    
(1)人与雪橇从A点到B点的过程中,损失的机械能为多少?    
(2)设人与雪橇在BC段受到的阻力恒定,求阻力大小.(取g=10 m/s2
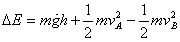
解:(1) 从A 点到B 点的过程中,人与雪橇损失的机械能为

代入数据解得△E=9 100 J.
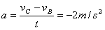
(2)加速度
根据牛顿第二定律f=ma= -140 N.
练习册系列答案
相关习题

科目:高中物理 来源: 题型:

(2005?上海)如图所示,某人乘雪橇从雪坡经A点滑至B点,接着沿水平路面滑至C点停止.人与雪橇的总质量为70kg.表中记录了沿坡滑下过程中的有关数据,请根据图表中的数据解决下列问题:
(1)人与雪橇从A到B的过程中,损失的机械能为多少?
(2)设人与雪橇在BC段所受阻力恒定,求阻力大小(g=10m/s2
位置 A B C
速度(m/s) 2.0 12.0 0
时刻(s) 0 4 10

查看答案和解析>>

科目:高中物理 来源: 题型:

(2008?嘉定区二模)如图所示,某人乘雪橇从雪坡经A点滑至B点,接着沿水平路面滑至C点停止(人与雪橇在B点无能量损失).人与雪橇的总质量为70kg.设雪橇与AB、BC接触面间的动摩擦因数处处相同,忽略空气阻力,表中记录了沿坡滑下过程中的有关数据,请根据图表中的数据解决下列问题:
位置 A B C
速度(m/s) 2.0 15.2 0
时刻(s) 0 3 10.6
(1)求动摩擦因数μ;
(2)求斜面的倾角θ.

查看答案和解析>>

科目:高中物理 来源: 题型:

如图所示,某人乘雪橇从雪坡A点滑至B点,接着沿水平路面滑至C点停止.若人与雪橇的总质量为70kg.表中记录了沿坡滑下过程中的有关数据,请根据图表中的数据解决下列问题:(取g=10m/s2
(1)人与雪橇从A到B的过程中,损失的机械能为多少?
(2)若雪橇在BC段所受阻力恒定,则B C的距离为多大?
位置 A B C
速度(m/s) 2.0 12.0 0
时刻(s) 0 4 10

查看答案和解析>>

科目:高中物理 来源: 题型:

精英家教网如图所示,某人乘雪橇从雪坡A点滑至B点,接着沿水平地面滑至C点停止.人与雪橇的总质量为70kg,A点距地面的高度为20m,人与雪橇在BC段所受阻力恒定.图表中记录了人与雪橇运动过程中的有关数据.求:(取g=10m/s2
位置 A B C
速度(m/s) 2.0 12.0 0
时刻(s) 0 4.0 10.0
(1)人与雪橇从A到B的过程中,损失的机械能;
(2)人与雪橇在BC颇受阻力的大小;
(3)BC的距离.

查看答案和解析>>

科目:高中物理 来源: 题型:

精英家教网如图所示,某人乘雪橇从雪坡经A点滑至B点,接着沿水平路面滑至C点停止(人与雪橇在B点无能量损失).人与雪橇的总质量为80kg,A点距地面高度20m.设雪橇与AB、BC接触面间的动摩擦因数处处相同,忽略空气阻力,表中记录了沿坡滑下过程中的有关数据,请根据图表中的数据解决下列问题:(g=10m/s2
(1)人与雪橇从A到B的过程中,重力做了多少功?
(2)人与雪橇从A到C,克服阻力做了多少功?
位置 A B C
速度v(m/s) 3.0 14.0 0

查看答案和解析>>

同步练习册答案