精英家教网 > 高中物理 > 题目详情
一辆汽车以速度v1匀速行驶全程的的路程,接着以v2=20km/h走完剩下的路程,若它全路程的平均速度v=28km/h,则v1应为( )
A.24km/h
B.34km/h?
C.35km/h
D.28km/h?
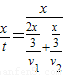
【答案】分析:根据全程的平均速度等于全程的位移与全程时间的比值,求出前的路程的速度.
解答:解:全程平均速度v=,代入数据,得v1=35km/h.故C正确,A、B、D错误.
故选C.
点评:解决本题的关键掌握平均速度的定义式
练习册系列答案
相关习题

科目:高中物理 来源: 题型:

如图所示,AB之间的距离为80m公路上一辆汽车以速度v1=10m/s速度匀速行驶。汽车行驶至某处时,一人为搭车,从距公路30m处开始以v2=3m/s的速度正对公路匀速跑去,司机见状途中刹车,汽车做匀减速运动,结果车和人同时到达B点,车恰好停止在B点,求汽车刹车的加速度大小。

查看答案和解析>>

科目:高中物理 来源: 题型:

公路上一辆汽车以速度v1=8m/s 匀速行驶,汽车行至A点时,一人为搭车,从距公路36m的C 处开始以v2=3m/s的速度正对公路匀速跑去,司机见状途中刹车,汽车做匀减速运动, 结果车和人同时到达B点,已知AB=80m, 求:

(1)汽车在距A多远处开始刹车?

(2) 刹车后汽车的加速度有多大?

查看答案和解析>>

科目:高中物理 来源:2012-2013学年广西桂林中学高一上学期期中考试物理试卷(带解析) 题型:单选题

(12分)公路上一辆汽车以速度v1="10m/s" 匀速行驶,汽车行至A点时,一人为搭车,从距公路30m的C 处开始以v2=3m/s的速度正对公路匀速跑去,司机见状途中刹车,汽车做匀减速运动,结果车和人同时到达B点,已知AB=80m,问:汽车在距A多远处开始刹车,刹车后汽车的加速度有多大?

查看答案和解析>>

科目:高中物理 来源:2015届广西桂林中学高一上学期期中考试物理试卷(解析版) 题型:计算题

(12分)公路上一辆汽车以速度v1=10m/s 匀速行驶,汽车行至A点时,一人为搭车,从距公路30m的C 处开始以v2=3m/s的速度正对公路匀速跑去,司机见状途中刹车,汽车做匀减速运动,结果车和人同时到达B点,已知AB=80m,问:汽车在距A多远处开始刹车,刹车后汽车的加速度有多大?

 

查看答案和解析>>

科目:高中物理 来源:2010年山西省高三上学期9月月考物理试题 题型:计算题

如图所示,AB之间的距离为80m公路上一辆汽车以速度v1=10m/s速度匀速行驶。汽车行驶至某处时,一人为搭车,从距公路30m处开始以v2=3m/s的速度正对公路匀速跑去,司机见状途中刹车,汽车做匀减速运动,结果车和人同时到达B点,车恰好停止在B点,求汽车刹车的加速度大小。(9分)

 

查看答案和解析>>

同步练习册答案