精英家教网 > 高中物理 > 题目详情
如图甲所示为学校操场上一质量为20 kg的竖直滑竿,为了研究学生沿竿下滑的情况,在竿顶部装有一力传感器,可显示竿顶端所受拉力的大小。现有一质量为50kg的学生从上端由静止滑下,滑到竿底时速度恰好为零。以学生开始下滑时刻为计时起点,传感器显示的拉力随时间变化情况如图乙所示,g取10 m/s2。求:
(1)该学生下滑过程中的最大速度;
(2)滑竿的长度。
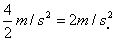
解:(1)由图知学生先匀加速后匀减速下滑,1 s末速度最大,设匀加速下滑过程中加速度为a1,则有:
 =4 m/s2
v1=a1t1=4×1 m/s=4 m/s
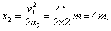
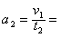
(2)设匀减速下滑过程中加速度为a2,则有:



滑竿长度x=x1-x2=2m+4m=6 m
练习册系列答案
相关习题

科目:高中物理 来源: 题型:

(2011?江苏模拟)如图甲所示为学校操场上一质量不计的竖直滑竿,滑竿上端固定,下端悬空.为了研究学生沿竿的下滑情况,在竿顶部装有一拉力传感器,可显示竿顶端所受拉力的大小.现有一质量为50kg的学生(可视为质点)从上端由静止开始滑下,5s末滑到竿底时速度恰好为零.以学生开始下滑时刻为计时起点,传感器显示的拉力随时间变化情况如图乙所示,g取10m/s2
求:
(1)该学生下滑过程中的最大速度;
(2)滑竿的长度.

查看答案和解析>>

科目:高中物理 来源: 题型:

如图甲所示为学校操场上一质量不计的竖直滑杆,滑杆上端固定.为了研究学生沿杆的下滑情况,在杆顶部装有一拉力传感器,可显示杆顶部所受力的大小.现有一学生(可视为质点)从上端由静止开始滑下,5s末滑到杆底端时速度恰好为零.以学生开始下滑时刻为计时起点,传感器显示的拉力随时间变化的情况如图乙所示,g取10m/s2.求:
(1)图乙中A点坐标值
(2)滑杆的长度.

查看答案和解析>>

科目:高中物理 来源: 题型:

如图甲所示为学校操场上一质量不计的竖直滑杆,滑杆上端固定,下端悬空,为了研究学生沿杆的下滑情况,在竿的顶部装有一拉力传感器,可显示竿顶端所受拉力的大小,现有一学生(可视为质点)从上端由静止开始滑下,5s未滑到竿底时速度恰好为零,从学生开始下滑的时刻计时,传感器显示拉力随时间变化情况如图乙所示,g取10m/s2,求
(1)该学生下滑过程中的最大速率;
(2)图中F1的大小;
(3)滑杆的长.

查看答案和解析>>

科目:高中物理 来源: 题型:

(18分)如图甲所示为学校操场上一质量不计的竖直滑竿,滑竿上端固定,下端悬空。为了研究学生沿竿的下滑情况,在竿的顶部装有一拉力传感器,可显示竿的顶端所受拉力的大小。现有一质量m=50kg的学生(可视为质点)从上端由静止开始滑下,5s末滑到竿底时速度恰好为零。以学生开始下滑时刻为计时起点,传感器显示的拉力随时间变化情况如图乙所示,g取10m/s2。求:

   

(1)该学生下滑过程中的最大速度;

(2)滑竿的长度。

查看答案和解析>>

科目:高中物理 来源:2013-2014学年吉林省高三11月月考物理试卷(解析版) 题型:计算题

如图甲所示为学校操场上一质量不计的竖直滑杆,滑杆上端固定,下端悬空,为了研究学生沿杆的下滑情况,在杆的顶部装有一拉力传感器,可显示杆顶端所受拉力的大小,现有一学生(可视为质点)从上端由静止开始滑下,5s末滑到杆底端时速度恰好为零并静止悬挂在杆的底端.从学生开始下滑时刻计时,传感器显示拉力随时间变化情况如图乙所示,g取10m/s2,求:

(1)该学生下滑过程中的最大速率;

(2)图中力F1的大小;

(3)滑杆的长度.

 

查看答案和解析>>

同步练习册答案