精英家教网 > 高中物理 > 题目详情

两个相同的圆形线圈,悬挂在光滑绝缘杆上,如图所示.通以方向相同但大小不同的电流II2,同时释放后,它们的运动情况是(        )

A.相互吸引,电流大的加速度大

B.相互吸引,加速度大小相等

C.相互排斥,电流大的加速度大

D.相互排斥,加速度大小相等

练习册系列答案
相关习题

科目:高中物理 来源: 题型:


影响物质材料电阻率的因素很多,一般金属材料的电阻率随温度的升高而增大,而某种半导体材料的电阻率则与之相反。某课题研究组在研究某种器件Z的导电规律时,测得其两端电压与通过电流的关系如表所示:

① 根据表中数据,判断器件Z可能属于上述          材料(选填“金属”或“半导体”)。

② 实验所用的器材规格是:

电压表(0-3V-15V,内阻约30kΩ);

电流表(0-0.6A-3A,内阻约4Ω);

滑动变阻器(变化范围0~10Ω); 

电源(3V,内阻约1Ω); 

器件Z;

电键;导线若干.

根据本次实验提供的数据,请用笔画线代替导线在实物图上连接电路;

③ 根据表中的数据已经在IU坐标中描好点,如图所示,请连线作图;

④ 某同学根据图中规律猜想IU的定量关系,用以下方法较为合理的是       (填选项前的字母)。

A.用IU图象

B.用IU2图象

C.用I2U图象

D.用IU-1图象

U/V

0.00

0.40

0.60

0.80

1.00

1.20

1.50

I/A

0.00

0.20

0.45

0.80

1.25

1.80

2.81

查看答案和解析>>

科目:高中物理 来源: 题型:


小阳设计了一个天然气泄漏检测电路,如图甲所示,R为气敏电阻,其阻值随天然气浓度变化曲线如图乙所示,R0为定值电阻,电源电压恒定不变,则下列说法正确的是(  )

A.天然气浓度增大,电压表示数变大

B.天然气浓度减小,电压表与电流表示数的比值变大

C.天然气浓度减小,电流表示数变大

D.天然气浓度增大,电路消耗的总功率变小

查看答案和解析>>

科目:高中物理 来源: 题型:


如图所示,x轴在水平地面内,y轴沿竖直方向.图中画出了从y轴上沿x轴正向抛出的三个小球abc的运动轨迹,其中bc是从同一点抛出的.不计空气阻力,则(  )

A.a的飞行时间比b的长   B.bc的飞行时间相同

C.a的水平速度比b的小    D.b的初速度比c的大

查看答案和解析>>

科目:高中物理 来源: 题型:


如图所示,在距地面2L的高空A处以水平初速度v0投掷飞镖,在与A点水平距离为L的水平地面上的B点有一个气球,选择适当时机让气球以速度v0匀速上升,在升空过程中被飞镖击中.飞镖在飞行过程中受到的空气阻力不计,在计算过程中可将飞镖和气球视为质点,已知重力加速度为g.试求:

(1)飞镖是以多大的速度击中气球的;

(2)掷飞镖和释放气球两个动作之间的时间间隔Δt.

查看答案和解析>>

科目:高中物理 来源: 题型:


相同温度的质量均为m的冰、水、水蒸气,下列说法中正确的是(        )

A.它们分子势能一定相同    B.它们的内能一定相同

C.它们的体积一定相同      D.它们分子平均动能相同

查看答案和解析>>

科目:高中物理 来源: 题型:


一定质量的理想气体由状态A变化到状态B,气体的压强随热力学温度变化如图所示,则此过程(       )

A.气体的密度减小

B.外界对气体做功

C.气体对外界放出热量

D.气体分子的平均动能增大

 


查看答案和解析>>

科目:高中物理 来源: 题型:


如图为卢瑟福的α粒子散射实验,①、②两条线表示实验中α粒子运动的轨迹,则沿③所示方向射向原子核的α粒子可能的运动轨迹为   (      )

(A)轨迹a         (B)轨迹b

  (C)轨迹c         (D)轨迹d

 


查看答案和解析>>

科目:高中物理 来源: 题型:


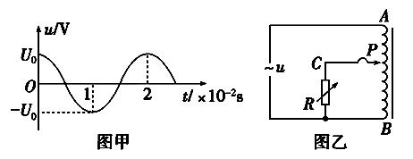
一理想自耦变压器的原线圈接有正弦交变电压如图甲所示,副线圈接有可调电阻R,触头P与线圈始终接触良好,如图乙所示,下列判断正确的是

A.交变电源的电压u随时间t变化的规律是u=U0cos100πtV

B.若仅将触头P向A端滑动,则电阻R消耗的电功率增大

C.若仅使电阻R增大,则原线圈的输入电功率增大

D.若使电阻R增大的同时,将触头P向B端滑动,则通过A处的电流一定增大

查看答案和解析>>

同步练习册答案