精英家教网 > 高中物理 > 题目详情

土星外层有一个环,为了判定它是土星的一部分还是大量土星卫星组成的卫星群,可以根据环各层的线速度v与该层到土星中心的距离R之间的关系来判定

[  ]

A.若v∝R,则环是土星的一部分

B.若v∝R,则环是土星的卫星群

C.若,则环是土星的一部分

D.若,则环是土星的卫星群

答案:AD
解析:

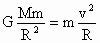
土星的一部分将与土星一起旋转,角速度相同,根据v=w R可知,线速度与半径成正比,选项A正确;若是土星的卫星群,则土星对卫星的引力是圆周运动的向心力,,得,即,选项D正确.


练习册系列答案
相关习题

科目:高中物理 来源: 题型:

根据观察,在土星外层有一个环,为了判断环是土星的连续物还是小卫星群.可测出环中各层的线速度V与该层到土星中心的距离R之间的关系.下列判断正确的是(  )
A、若V与R成反比,则环为连续物B、若V2与R成正比,则环为小卫星群C、若V与R成正比,则环为连续物D、若V2与R成反比,则环为小卫星群

查看答案和解析>>

科目:高中物理 来源: 题型:

根据观察,在土星外层有一个环,为了判断环是土星的连续物还是小卫星群。可测出环中各层的线速度V与该层到土星中心的距离R之间的关系。下列判断正确的是:

A.若V与R成正比,则环为连续物;

B.若V2与R成正比,则环为小卫星群;

C.若V与R成反比,则环为连续物;

D.若V2与R成反比,则环为小卫星群。

查看答案和解析>>

科目:高中物理 来源: 题型:

 根据观察,在土星外层有一个环,为了判断环是土星的连续物还是小卫星群。可测出环中各层的线速度V与该层到土星中心的距离R之间的关系。下列判断正确的是:

A.若V与R成正比,则环为连续物;

B.若V2与R成正比,则环为小卫星群;

C.若V与R成反比,则环为连续物;

D.若V2与R成反比,则环为小卫星群。

 

查看答案和解析>>

科目:高中物理 来源:2013-2014学年河南省高三期中物理试卷(解析版) 题型:选择题

根据观察,在土星外层有一个环,为了判断环是土星的连续物还是小卫星群。可测出环中各层的线速度v与该层到土星中心的距离R之间的关系。下列判断正确的是:(   )

A.若vR成反比,则环为连续物

B.若v2R成正比,则环为小卫星群

C.若vR成正比,则环为连续物

D.若v2R成反比,则环为小卫星群

 

查看答案和解析>>

科目:高中物理 来源:2010届高三物理每周精析精练:万有引力 题型:选择题

 根据观察,在土星外层有一个环,为了判断环是土星的连续物还是小卫星群。可测出环中各层的线速度V与该层到土星中心的距离R之间的关系。下列判断正确的是:

A.若V与R成正比,则环为连续物;

B.若V2与R成正比,则环为小卫星群;

C.若V与R成反比,则环为连续物;

D.若V2与R成反比,则环为小卫星群。

 

查看答案和解析>>

同步练习册答案