精英家教网 > 高中物理 > 题目详情

(14分)甲、乙两车在同一轨道上同向匀速行驶,甲车的速度为v1=16m/s,乙车的速度为v2=12m/s,乙车在甲车的前面,两车相距L=6m。某时刻两车同时开始刹车,甲车的加速度为a1=2m/s2,6秒后立即改做匀速运动,乙车刹车的加速度为a2=1m/s2,求:

(1)从两车刹车到甲车第一次追上乙车的时间;

(2)两车相遇的次数。

(3)从两车刹车到两车速度相等经过的时间;

 

【答案】

(1) 2s  (2) 3次  (3) 4s  8s

【解析】

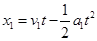
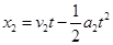
试题分析:(1)甲减速时,设经过t时间相遇,甲、乙位移分别为x1、x2,则:

 

而x1=x2+L   解得:t1=2s,t2=6s 则第一次甲追上乙用时2s

(2)当t2=6s时,甲车速 乙车速 则t2后乙车在前面,设再经过Δt甲追上乙,有  解得:Δt=4s,此后,乙不能再追上甲,故甲乙相遇三次。

(3)设第一次等速经过的时间为t5,则 解得t5=4s。设第三次等速经过的时间为t6,则  解得:t6=8s

考点:本题考查追及相遇问题。

 

练习册系列答案
相关习题

科目:高中物理 来源: 题型:

甲、乙两车在同一轨道上同向匀速行驶,甲车的速度为v1=16m/s,乙车的速度为v2=12m/s,乙车在甲车的前面,两车相距L=6m.某时刻两车同时开始刹车,甲车的加速度为a1=2m/s2,6秒后立即改做匀速运动,乙车刹车的加速度为a2=1m/s2,求:
(1)从两车刹车到甲车第一次追上乙车的时间;
(2)两车相遇的次数.
(3)从两车刹车到两车速度相等经过的时间.

查看答案和解析>>

科目:高中物理 来源: 题型:

甲、乙两车在同一直线轨道上同向行驶,甲车在前,速度为8m/s,乙车在后速度为16m/s,当两车相距16m时,甲车因故开始刹车,加速度大小为2m/s2,为避免相撞,乙车立即开始刹车,则乙车的加速度至少为多大?

查看答案和解析>>

科目:高中物理 来源: 题型:

甲、乙两车在同一直线轨道上同向行驶,甲车在前,速度为v=8m/s,乙车在后,速度为v=16m/s,当两车相距s=8m时,甲车因故开始刹车,加速度大小为a=2m/s,为避免相撞,乙车立即开始刹车,为不使相撞,则乙车的加速度至少为多大?

查看答案和解析>>

科目:高中物理 来源: 题型:

甲、乙两车在同一直线轨道上同向行驶,甲车在前,以4m/s的速度做匀速运动,乙车在后以16m/s的速度做
匀速运动.当两车相距36m时,乙车立即开始刹车做匀减速运动.若忽略司机的反应时间,为了避免两车
相撞,则乙车的加速度至少为多大?

查看答案和解析>>

同步练习册答案