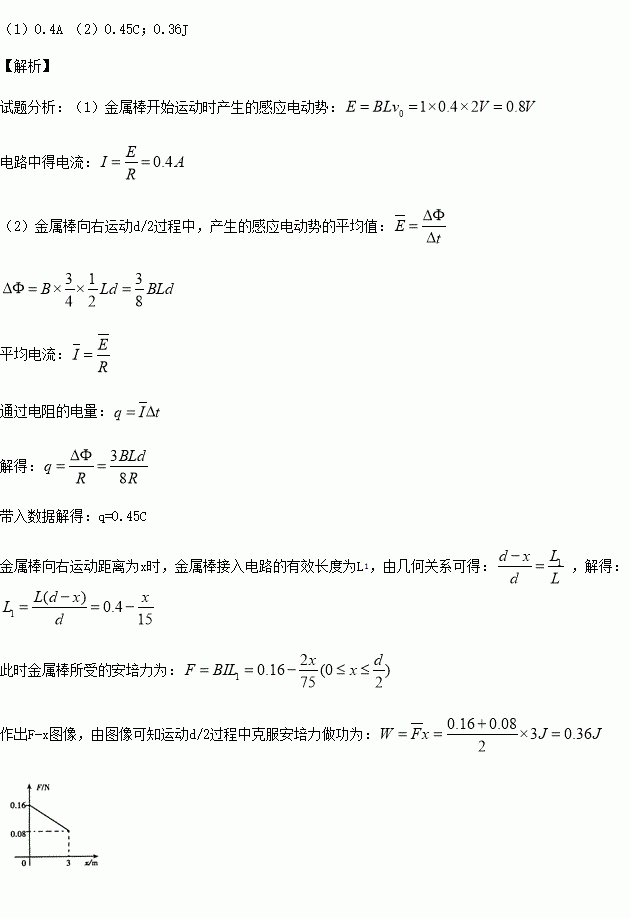
如图所示,两根电阻不计的光滑金属导轨MAC、NBD水平放置,MA、NB间距L=0. 4m,AC、BD的延长线相交于E点且AE=BE,E点到AB的距离d=6m,M、N两端与阻值R=2Ω的电阻相连,虚线右侧存在方向与导轨平面垂直向下的匀强磁场,磁感应强度B=1T。一根长度也为 L=0.4m、质量m=0.6kg、电阻不计的金属棒,在外力作用下从AB处以初速度v0=2m/s沿导轨水平向右作变加速运动,运动过程中电阻R上消耗的电功率不变,棒与导轨接触良好,求:
![]()
(1)电路中的电流I;
(2)金属棒向右运动d/2过程中通过电阻 R的电量q及克服安培力做的功W;
科目:高中物理 来源:2015-2016学年湖北襄阳第五中学高二3月考物理试卷(解析版) 题型:选择题
如图是光电管的原理图,已知当有频率为ν0的光照射到阴极 K上时,电路中有光电流,则: ( )
![]()
A.当换用频率为ν1(ν1<ν0)的光照射阴极 K时,电路中一定没有光电流
B.当换用频率为ν2 (ν2>ν0)的光照射阴极K时,电路中一定有光电流
C.当增大电路中的电压时,电路中的光电流一定增大
D.当将电极性反接时,电路中一定没有光电流产生
查看答案和解析>>
科目:高中物理 来源:2015-2016学年湖北黄冈中学高二下期中物理试卷(解析版) 题型:选择题
规定垂直纸面向里的方向为磁场的正方向,顺时针方向为电流的正方向。在处于磁场中的纸面内放置一个金属圆环,如图甲所示。现令磁感应强度B按图乙随时间t变化,则能正确表示对应时间内金属圆环中电流i随时间t变化情况的i-t图像是( )
![]()
![]()
![]()
查看答案和解析>>
科目:高中物理 来源:2015-2016学年广东汕头金山中学高二下期末物理试卷(解析版) 题型:选择题
如图,用理想变压器给电灯L供电,如果只增加副线圈匝数,其它条件不变,则
![]()
A.电灯L亮度减小 B.电流表示数增大
C.电压表示数不变 D.变压器输入功率不变
查看答案和解析>>
科目:高中物理 来源:2016届重庆市高三三诊理综物理试卷(解析版) 题型:计算题
如图所示,一截面为直角三角形的玻璃棱镜ABC, ∠A= 30°,D点在AC边上,AD间距为L。一条光线以60°的入射角从D点射入棱镜,光线垂直BC射出,求:
![]()
①玻璃的折射率;
②BC边上出射点的位置到C点的距离d。
查看答案和解析>>
科目:高中物理 来源:2016届重庆市高三三诊理综物理试卷(解析版) 题型:选择题
极地卫星的运行轨道平面通过地球的南北两极(轨道可视为圆轨道)。如图所示,若某极地卫星从北纬30°的正上方按图示方向第一次运行至南纬60°正上方,所用时间为t,已知地球半径为R(地球可看做球体),地球表面的重力加速度为g,引力常量为G,由以上条件可知( )
![]()
A.卫星运行的角速度为
B.地球的质量为![]()
C.卫星距地面的高度
D.卫星运行的线速度为![]()
查看答案和解析>>
科目:高中物理 来源:2016届山东省高三高考打靶测试理综物理试卷(解析版) 题型:选择题
下列说法正确的是( ).
A.α粒子大角度散射表明α粒子很难进入原子内部
B.极限频率越大的金属材料逸出功越大
C.聚变反应有质量亏损,但质量数守恒
D.γ射线是一种波长很短的电磁波
E.
是重核裂变
查看答案和解析>>
科目:高中物理 来源:2016届宁夏银川二中高三5月适应性训练理综物理试卷(解析版) 题型:计算题
如图所示,小车上固定有一内壁光滑的弯管,弯管左、右两端管口在同一水平面上。弯管及小车的总质量为M,小车静止于光滑水平面上,质量为m=
M的小球以水平速度v0(未知)射入弯管,小球直径略小于弯管,弯管最高处距管口的竖直高度为h。设小球与弯管在相互作用过程中无机械能损失,小球离开小车时,速度仍是水平的。
![]()
①若小球恰好能到达弯管的最高点,试求v0的大小;
②若小球到达弯管的最高点后,从右端离开小车,试求离开小车时小球的速度(v0表示)。
查看答案和解析>>
科目:高中物理 来源:2016届海南省高三临考模拟物理试卷(解析版) 题型:计算题
如图所示,在竖直平面上有两根很长的平行竖直轨道,轨道间有垂直轨道平面交替排列的匀强磁场
和
,
,
和
的方向相反,两磁场始终竖直向上做匀速运动。垂直轨道有一金属框abcd,并且与之绝缘。已知金属框的总质量为
,运动时所受阻力
,金属框垂直轨道的边长
,两磁场的宽度均与金属框的边长
相同,金属框整个回路的电阻
,
取
。假如金属框以
的速度匀速上升,求:
![]()
(1)金属框中感应电流的大小及图示时刻感应电流的方向;
(2)磁场向上运动速度
的大小;
查看答案和解析>>
湖北省互联网违法和不良信息举报平台 | 网上有害信息举报专区 | 电信诈骗举报专区 | 涉历史虚无主义有害信息举报专区 | 涉企侵权举报专区
违法和不良信息举报电话:027-86699610 举报邮箱:58377363@163.com