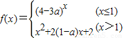
7.已知函数在R上是增函数.则a的取值范围是 .7.[0.3] 查看更多

 

题目列表(包括答案和解析)

已知函数在R上是增函数,则a的取值范围   

查看答案和解析>>

已知函数在R上是增函数,则a的取值范围是(    )。

查看答案和解析>>

已知函数R上是增函数,则a的取值范围是_______________

查看答案和解析>>

已知函数R上是增函数,则a的取值范围是_______________.

查看答案和解析>>

已知函数在R上是增函数,则实数a的取值范围是( )
A.
B.[1,+∞)
C.
D.(0,1]

查看答案和解析>>


同步练习册答案