4.D提示:函数是上的减函数,由得,故,同理.相加得.故选D. 查看更多

 

题目列表(包括答案和解析)

已知上的减函数,那么的取值范围    

是(     )

A.          B.           C.           D.

 

查看答案和解析>>

已知上的减函数,则的取值范围为(      )

A.(0,1)  B.(1,2)      C.(0,2)        D.

 

查看答案和解析>>

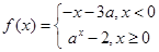
已知函数上的减函数。那么的取值范围是 

A.              B.              C.      D.

 

查看答案和解析>>

已知函数,()是上的减函数,则的取值范围是(   )

A.   B.  C.  D.

 

查看答案和解析>>

已知 是上的减函数,那么 a 的取值范围是

    A.(0,1)        B.(0,)       C.          D.

 

查看答案和解析>>


同步练习册答案