0  427200  427208  427214  427218  427224  427226  427230  427236  427238  427244  427250  427254  427256  427260  427266  427268  427274  427278  427280  427284  427286  427290  427292  427294  427295  427296  427298  427299  427300  427302  427304  427308  427310  427314  427316  427320  427326  427328  427334  427338  427340  427344  427350  427356  427358  427364  427368  427370  427376  427380  427386  427394  447090 

35.现要测定标有“3.6V  0.32A”的灯泡正常发光时的灯丝电阻。给你的器材有:开关一个、4.5V和6V电源各一套(电源电压恒定)、量程为“0-0.6A”及“0-3A”的电流表和量程为“0-3V”及“0-15V”的电压表各一个、“5Ω  2A”和“16Ω  1A”的滑动变阻器各一只。要求:测量时电表指针必须超过所用量程的一半。

(1)灯泡正常发光时的灯丝电阻R=     Ω;

(2)应选取电压为    V的电源;

(3)滑动变阻器的规格应选取     

(4)用笔画线代替导线将图中所示的实物图中未连接的部分按

实验要求连接好。

试题详情

34.小华总结两年来所做的物理探究实验发现:

(1)当要研究的物理量不易直接测量时,都要想办法把它们的大小间接表示出来。

如:甲实验是让木块在水平面上做    运动,通过读取弹簧测力计上的示数间接知道摩擦力的大小;乙实验中小球动能的大小是通过观察比较物块B         反映出来的。

(2)当要研究的物理量与多个因素有关时,都要采用     法。

如:甲实验研究摩擦力的大小与压力大小关系,就要多次改变       ,同时保持接触面的粗糙程度不变;乙实验研究小球动能的大小与速度的关系就要多次改变    的大小,同时控制小球的     不变。

试题详情

33.某同学在做“比较不同物质吸热能力”的实验时,使用相同的电加热器给水和煤油加热(用加热时间的长短来表示物质吸收热量的多少)。他得到如下数据:

物质
次数
质量m/kg
升高的温度Δt/℃
加热的时间t/min

1
0.1
10
2
2
0.2
10
4
煤油
3
0.1
10
1
4
0.2
10
2

(1)分析       次实验数据,可以得出的初步结论是:                       

(2)分析      次实验数据,可以得出的初步结论是:                      

试题详情

32.小红所在的科技小组利用所学知识自制一杆秤(自重不计),如图所示。

(1)请在图中画出秤砣所受重力的力臂;

(2)已知秤杆上0.5kg和2.5kg的两根刻度线相距10cm,则当称量0.5kg物

体时,秤砣连接点与提钮O点的距离是     cm;

(3)若要增大该杆秤的测量范围,可采用的方法              

试题详情

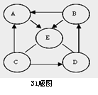
31.A-E都是初中化学中的常见物质,且有如图所示转化关系(反应条件、其他生成物均已略去,图中“-”表示两端的物质能发生化学反应;“→”表示物质间存在转化关系。)

已知A、B、C、D、E均为化合物,其中E为造成温室效应的主要气体,写出下列反应方程式:

(1)D+E:                   

(2)C转化为D:                

试题详情

30.2008年9月,中国爆发三鹿婴幼儿奶粉受污染事件,导致食用了受污染奶粉的婴幼儿产生肾结石病症,其原因是奶粉中含有三聚氰胺。三聚氰胺性状为纯白色单斜棱晶体,分子式为C3N6H6或[C3N3(NH2)3]。

(1)下列描述属于三聚氰胺的化学性质的是…………………………………………………………………(  )

A.三聚氰胺性状为纯白色单斜棱晶体,无味  B.快速加热可升华,升华温度为 300℃

C.溶于热水,微溶于冷水,极微溶于热乙醇   D.在一般情况下较稳定,但在高温下可能会分解放出氰化物

(2)各个品牌奶粉中蛋白质含量为15-20%,蛋白质中含氮量平均为16%。以某合格牛奶蛋白质含量为2.8%计算,含氮量为  ,某合格奶粉蛋白质含量为18%计算,含氮量为  。某品牌奶粉一袋(400 g)中加了1 g三聚氰铵,相当于增加了  g蛋白质。(在现有奶粉检测的国家标准中,主要进行蛋白质、脂肪、细菌等检测。因为蛋白质是含氮的,所以只要测出食品中的含氮量,就可以推算出其中的蛋白质含量。)

试题详情

29.国家“西气东输”工程已经惠及石家庄地区,使得石家庄地区广大居民

用上天然气作燃料。

(1)天然气在空气中燃烧的化学方程式为                    

(2)许多出租车汽车、公交车也改用天然气作燃料,右图是2008年北京国际汽车展中我国自行研制的氢动力概念跑车图片。

①氢气在空气中燃烧的化学方程式为            。 汽车最理想的清洁燃料是氢气,但氢动力汽车目前还不能普及,原因是             。(答一点)

②为了普及氢动力汽车,科学家仍在不懈努力。据英国《新科学家》杂志报道,以色列科学家发明了一种车用制氢装置,装置中制氢气的原理:硼(B)和水在高温下反应,生成氢氧化硼[B(OH)3]和氢气。其反应的化学方程式为                 

试题详情

28.特快电热壶由于快捷方便,被许多家庭、宾馆使用。请据图回答:

(1)电热壶的制作材料中属于金属或合金的是             (填序号)。

(2)用铜质材料制作电源插头的插脚是利用铜具有          性。

(3)这种水壶具有水沸自动断电保护功能,即水沸后因气压增大使电源开

关自动断电。请从分子的角度解释水沸后气压增大的原因:        

                                 

试题详情

27.如图所示,钻木头之所以能够取火,是因为钻木头时对木头做功,使木头的

      增加,温度升高达到木头的       ,使木头燃烧起来。在钻

木取火时一般都选用干燥的木材而不选用潮湿的木材,用潮湿的木材不易起火的

原因                                

试题详情


同步练习册答案