0  429184  429192  429198  429202  429208  429210  429214  429220  429222  429228  429234  429238  429240  429244  429250  429252  429258  429262  429264  429268  429270  429274  429276  429278  429279  429280  429282  429283  429284  429286  429288  429292  429294  429298  429300  429304  429310  429312  429318  429322  429324  429328  429334  429340  429342  429348  429352  429354  429360  429364  429370  429378  447090 

12.(09四川卷,31)大豆是两性花植物。下面是大豆某些性状的遗传实验:

(1)大豆子叶颜色(BB表现深绿;Bb表现浅绿;bb呈黄色,幼苗阶段死亡)和花叶病的抗性(由R、r基因控制)遗传的实验结果如下表:

组合
母本
父本
F1的表现型及植株数

子叶深绿不抗病
子叶浅绿抗病
子叶深绿抗病220株;子叶浅绿抗病217株

子叶深绿不抗病
子叶浅绿抗病
子叶深绿抗病110株;子叶深绿不抗病109株;
子叶浅绿抗病108株;子叶浅绿不抗病113株

①组合一中父本的基因型是_____________,组合二中父本的基因型是_______________。

②用表中F1的子叶浅绿抗病植株自交,在F2的成熟植株中,表现型的种类有_____________

__________________________________________________,其比例为_____________。

③用子叶深绿与子叶浅绿植株杂交得F1,F1随机交配得到的F2成熟群体中,B基因的基因频率为________________。

④将表中F1的子叶浅绿抗病植株的花粉培养成单倍体植株,再将这些植株的叶肉细胞制成不同的原生质体。如要得到子叶深绿抗病植株,需要用_________________基因型的原生质 体进行融合。

⑤请选用表中植物材料设计一个杂交育种方案,要求在最短的时间内选育出纯合的子叶深绿抗病大豆材料。

(2)有人试图利用细菌的抗病毒基因对不抗病大豆进行遗传改良,以获得抗病大豆品种。

①构建含外源抗病毒基因的重组DNA分子时,使用的酶有______________________。

②判断转基因大豆遗传改良成功的标准是__________________________________,具体的检测方法_______________________________________________________________。

(3)有人发现了一种受细胞质基因控制的大豆芽黄突变体(其幼苗叶片明显黄化,长大后与正常绿色植株无差异)。请你以该芽黄突变体和正常绿色植株为材料,用杂交实验的方法, 验证芽黄性状属于细胞质遗传。(要求:用遗传图解表示)

答案  (1) ①BbRR   BbRr                        

 ②子叶深绿抗病∶子叶深绿不抗病∶子叶浅绿抗病∶子叶浅绿不抗病    3∶1∶6∶2                            

③80%                               

④BR与BR、BR与Br                       

⑤用组合一的父本植株自交,在子代中选出子叶深绿类型即为纯合的子叶深绿抗病大豆材料。                         

(2)①限制性内切酶和DNA连接酶                   

②培育的植株具有病毒抗体    用病毒分别感染转基因大豆植株和不抗病植株,观察比较植株的抗病性 

(3)                                

解析  本题考查的知识点如下:

试题详情

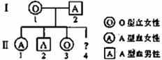
11.(09天津卷,7)人的血型是由红细胞表面抗原决定的。左表为A型和O型血的红细胞表面抗原及其决定基因,右图为某家庭的血型遗传图谱。

血型
A
红细胞裂面A抗原

抗原决定基因
(显性)
O

(隐性)

据图表回答问题:

(1)控制人血型的基因位于     (常/性)染色体上,判断依据是               

                        

(2)母婴血型不合易引起新生儿溶血症。原因是在母亲妊娠期间,胎儿红细胞可通过胎盘进入母体;剌激母体产生新的血型抗体。该抗体又通过胎盘进入胎儿体内,与红细胞发生抗原抗体反应,可引起红细胞破裂。因个体差异,母体产生的血型抗体量及进入胎儿体内的量不同,当胎儿体内的抗体达到一定量时,导致较多红细胞破裂,表现为新生儿溶血症。

①II-1出现新生儿溶血症,引起该病的抗原是           。母婴血型不合  

        (一定/不一定)发生新生儿溶血症。

②II-2的溶血症状较II-1严重。原因是第一胎后,母体已产生      ,当相同抗原再次剌激时,母体快速产生大量血型抗体,引起II-2溶血加重。

③新生儿胃肠功能不健全,可直接吸收母乳蛋白。当溶血症新生儿哺母乳后,病情加重,其可能的原因是                            

(3)若II-4出现新生儿溶血症,其基因型最有可能是        

答案  (1)常   若IA在X染色体上,女孩应全部为A型血,若IA在Y染色体上,女孩应全部为O型血。

(2)①胎儿红细胞表面A抗原  不一定

②记忆细胞

③母乳中含有(引起溶血症的)血型抗体

(3)IAi

解析  本题考查遗传与免疫有关的知识。(1)假设IA在X染色体上,则女孩应全部为A型血;若IA只在Y染色体上,则女孩应全部为O型血与题意不符,所以控制人血型的基因位于常染色体上。(2)①II-1 为A型血,II-1出现新生儿溶血症,引起该病的抗原是胎儿红细胞表面的A抗原。母婴血型不合不一定发生新生儿溶血症。②II-2的溶血症状较II-1重,原因是第一胎后,母体已产生记忆细胞,当相同抗原再次剌激时,母体会快速产生大量血型抗体,从而使II-2溶血加重。③新生儿胃肠功能不健全,可直接吸收母乳蛋白。当溶血症新生儿哺母乳后,病情加重,其可能的原因是母乳中含有引起溶血症的血型抗体。(3)若II-4出现新生儿溶血症,其基因型最有可能是IAi。

试题详情

10.(09广东卷,8)右图所示的红绿色盲患者家系中,女性患者Ⅲ-9的性染色体只有一条X染色体,其他成员性染色体组成正常。Ⅲ-9的红绿色盲致病基因来自于   (   )

A.Ⅰ-1         B.Ⅰ-2        C.Ⅰ-3      D.Ⅰ-4

答案  B

解析  红绿色盲遗传为交叉遗传,而Ⅲ-9只有一条X染色体,且其父亲7号正常,所以致病基因来自母亲6号,6号表现正常,肯定为携带者,而其父亲Ⅰ-2患病,所以其致病基因一定来自父亲。

试题详情

9.(09安徽卷,5)已知人的红绿色盲属X染色体隐性遗传,先天性耳聋是常染色体隐性遗传(D对d完全显性)。下图中Ⅱ2 为色觉正常的耳聋患者,Ⅱ5为听觉正常的色盲患者。Ⅱ4(不携带d基因)和Ⅱ3婚后生下一个男孩,这个男孩患耳聋、色盲。既耳聋有色盲的可能性分别是                             (    )

A.0 、、0               B.0、    

C.0、、0               D.

答案  A

解析  设色盲基因为b,依题意,Ⅱ5为听觉正常的色盲患者,则他的色盲基因来自他的母亲,母亲基因型为XBXb,又因为Ⅱ4不携带d基因,则她的基因型为1/2DD XBXB和1/2 DD XBXb,Ⅱ3的基因型为DdXBY, Ⅱ4和Ⅱ3婚后生下一个男孩,则这个男孩患耳聋的可能性为0,色盲的可能性为1/2×1/2=1/4,既耳聋有色盲的可能性分别是0。故A正确。

试题详情

8.(09上海卷,29)麦的粒色受不连锁的两对基因、和控制。决定红色,决定白色,R对r不完全显性,并有累加效应,所以麦粒的颜色随R的增加而逐渐加深。将红粒与白粒杂交得自交得,则的表现型有                               (   )

A.4种                  B.5种

C.9种                  D.10种

答案  B

解析  本题的关键是“麦粒的颜色随R的增加而逐渐加深”,也就是颜色主要与R的多少有关,F2中的R有4、3、2、1和0五种情况,对应有五种表现型。

试题详情

7.(09上海卷,14)用豌豆进行遗传试验时,下列操作错误的是        (   )

A.杂交时,须在花蕾期人工去雄

B.自交时,雌蕊和雄蕊都无需除去

C.杂交时,须在开花前除去母本的雌蕊

D.人工授粉后,应套袋

答案  C

解析  豌豆为雌雄同株,自花授粉且是闭花授粉,自然状态下都是自交,孟德尔的豌豆杂交实验是人工杂交,在花蕾期人工去雄。

试题详情

6.(09上海卷,4)基因型为AaBBccDD的二倍体生物,可产生不同基因型的配子种类数是

(   )

   A.2        B. 4         C. 8         D. 16

答案  A

解析  由基因型可知有四对基因,根据自由组合的分析思路应拆分为四个分离规律,Aa、BB、cc和DD,其产生的配子种类依次为2、1、1、1,则该个体产生的配子类型为2×1×1×1=2种。

试题详情

5.(09辽宁、宁夏卷,6) 已知某闭花受粉植物高茎对矮茎为显性,红花对白花为显性,两对性状独立遗传。用纯合的高茎红花与矮茎白花杂交,F1自交,播种所有的F2,假定所有的F2植株都能成活,F2植株开花时,拔掉所有的白花植株,假定剩余的每株F2自交收获的种子数量相等,且F3的表现性符合遗传的基本定律。从理论上讲F3中表现白花植株的比例为                             (   )

  A.1/4          B.1/6           C.1/8        D.1/16

答案  B

解析  假设红花显性基因为R,白花隐性为r, F1全为红花Rr,F1自交,所得F2红花的基因型为1/3RR,2/3Rr,去掉白花,F2红花自交出现白花的比例为2/3﹡1/4=1/6。

试题详情

4.(09江苏卷,10)已知A与a、B与b、C与c3对等位基因自由组合,基因型分别为AaBbCc、

AabbCc的两个体进行杂交。下列关于杂交后代的推测,正确的是        (   )

A.表现型有8种,AaBbCc个体的比例为1/16

    B.表现型有4种,aaBbcc个体的比例为1/16

C.表现型有8种,Aabbcc个体的比例为1/8

D.表现型有8种,aaBbCc个体的比例为1/16

答案  D

解析  本题考查遗传概率计算。后代表现型为

2x2x2=8种,AaBbCc个体的比例为1/2x1/2x1/2=1/8。Aabbcc个体的比例为

1/4x1/2x1/4=1/32。aaBbCc个体的比例为1/4x1/2x1/2=1/16。

试题详情

3.(09江苏卷,7)下列有关孟德尔豌豆杂交实验的叙述,正确的是      (   )

    A.孟德尔在豌豆开花时进行去雄和授粉,实现亲本的杂交

    B.孟德尔研究豌豆花的构造,但元需考虑雌蕊、雄蕊的发育程度

C.孟德尔根据亲本中不同个体表现型来判断亲本是否纯合

    D.孟德尔利用了豌豆自花传粉、闭花受粉的特性

答案  D

解析  A中因为豌豆是自花传粉,闭花授粉,为实现亲本杂交,应在开花前去雄;B研究花的构造必须研究雌雄蕊的发育程度C中不能根据表现型判断亲本的纯合,因为显性杂合子和显性纯合子表型一样D是正确的。

试题详情


同步练习册答案