相关习题
 0  69740  69748  69754  69758  69764  69766  69770  69776  69778  69784  69790  69794  69796  69800  69806  69808  69814  69818  69820  69824  69826  69830  69832  69834  69835  69836  69838  69839  69840  69842  69844  69848  69850  69854  69856  69860  69866  69868  69874  69878  69880  69884  69890  69896  69898  69904  69908  69910  69916  69920  69926  69934  97155 

科目: 来源:czsx 题型:

如图为二次函数y=ax2+bx+c的图象,下列说法不正确的是


A.ac<0
B.方程ax2+bx+c =0的根为
C.a+b+c>0
D.当x>1时,y随着x的增大而增大

试题详情

科目: 来源:czsx 题型:

在平面直角坐标系中,以点(2,3)为圆心,2为半径的圆必定

A.与x轴相离、与y轴相切
B.与x轴相交、与y轴相切
C.与x轴相切、与y轴相离  
D.与x轴相切、与y轴相交

试题详情

科目: 来源:czsx 题型:

如图,在△ABC中,DE∥BC,且AE=3cm,EC=5cm,DE=6cm。则BC等于


A.10cm
B.16cm
C.12 cm
D.

试题详情

科目: 来源:czsx 题型:

下列说法正确的是

A.“彩票中奖的概率是1%”表示买100张彩票一定会中奖
B.  买100张彩票恰有一张中奖表示彩票中奖的概率是1%
C.  随机事件发生的可能性是50%
D.“明天下雨的概率为80%”指的是明天下雨的可能性是80%

试题详情

科目: 来源:czsx 题型:

方程x2-x=0的解是

A.x1=0,x2=1
B.x1=0, x2=-1
C.x1=-1,x2=1
D.x1=x2=1

试题详情

科目: 来源:czsx 题型:

一个布袋里装有3个红球、2个白球,每个球除颜色外均相同,从中任意摸出一个球,则摸出的球是红球的概率是

A.
B.
C.
D.

试题详情

科目: 来源:czsx 题型:

将抛物线y=2x2如何平移可得到抛物线y=2(x-4)2-1

A.向左平移4个单位,再向上平移1个单位
B.向左平移4个单位,再向下平移1个单位
C.向右平移4个单位,再向上平移1个单位
D.向右平移4个单位,再向下平移1个单位

试题详情

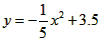
科目: 来源:czsx 题型:

如图,小明在某次投篮中,球的运动路线是抛物线的一部分,如图所示,若命中篮圈中心,则他与篮底的距离L是


A. 4.6m
B. 4.5m
C. 4m
D. 3.5m

试题详情

科目: 来源:czsx 题型:

如图,圆桌正上方的灯泡(看作一个点)发出的光线照射到桌面后在地面上形成圆形示意图。已知桌面直径为1.2米,桌面离地面1米,若灯泡离地面3米,则地面上阴影部分的面积为


A.0.36π 米2
B.0.81π 米2
C.2π 米2
D.3.24π 米2

试题详情

科目: 来源:czsx 题型:

中央电视台“幸运52”栏目中的“百宝箱”互动环节是一种竞猜游戏,游戏规则如下:在20个商标牌中,有5个商标牌的背面注明一定的奖金额,其余商标牌的背面是一张哭脸,若翻到哭脸,就不得奖,参与这个游戏的观众有三次翻牌的机会(翻过的牌不能再翻),某观众前两次翻牌均获得若干奖金,那么他第三次翻牌获奖的概率是

A.
B.
C .
D.

试题详情


同步练习册答案