2015Äê6ÔÂ11ÈÕÊÇÖйúÈË¿ÚÈÕ¡£¾Ý¹ú¼Òͳ¼Æ¾Ö ÍøÕ¾¹«²¼µÄÊý¾Ý£¬ÎÒ¹úÄÐÐÔÈË¿Ú 70 ©–79ÍòÈË£¬Å®ÐÔÈË ¿Ú 66 703ÍòÈË£¬ÄÐÐÔ±ÈÅ®ÐÔ¶à3 376Íò£¬×ÜÈË¿ÚÐÔ±ð±È Ϊ105.06(ÒÔÅ®ÐÔΪ100) £¬³öÉúÈË¿ÚÐÔ±ð±ÈΪ115.88. (2015Äê7ÔÂ12Ô»ÑëÊÓÍø) Ô¤¼Æµ½2020Ä꣬ÎÒ¹ú½«»á ³öÏÖ´óÔ¼3 000Íò¡°¹â¹÷¡±¡£¹ú¼ÒÎÀÉú¼ÆÉúίµÈ²¿ÃŽ« ¼Ó´ó³öÉúÈË¿ÚÐÔ±ð±È×ÛºÏÖÎÀí¹¤×÷Á¦¶È£¬ÑÏ´ò·Çҽѧ ÐèÒª¼ø¶¨Ì¥¶ùÐÔ±ðºÍÑ¡ÔñÐÔÈ˹¤ÖÕÖ¹ÈÑÄïµÄ¡°Á½·Ç¡± ÐÐΪ¡£
Çë»Ø´ðÏÂÁÐÎÊÌ⣺
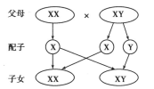
(1) Çëд³öÈËÐÔ±ð¾ö¶¨µÄÒÅ´«Í¼½â¡£
(2) Ϊʲô»á³öÏÖ¡°Á½·Ç¡±ÐÐΪ£¿
(3) ¶ÔÓÚÐÔ±ð±ÈÑÏÖØÊ§ºâÏÖÏó£¬ÄãÊÇÔõô¿´µÄ£¿
´ð°¸£¨1)
![]()
(2)³¤ÆÚÒÔÀ´£¬ÎÒ¹úÑÏÖØµÄÖØÄÐÇáŮ˼Ïëµ¼ÖÂÈËΪѡÔñÌ¥¶ù ÐÔ±ðºÍÑ¡ÔñÐÔÈ˹¤ÖÕÖ¹ÈÑÉï¡£
£¨Òâ˼ÕýÈ·¼´¿É£©
(3)˵³ö×Ô¼ºµÄ¿´·¨£¬ÓïÑÔÃèÊöÇå³þ¼´¿É¡£
½âÎö ¸¸Ç׵ľ«×ÓÓÐX¡¢YÁ½ÖÖÀàÐÍ£¬¶øÄ¸Ç×µÄÂÑϸ°ûÖ»ÓÐ X ¡ªÖÖÀàÐÍ£¬µ±X¾«×ÓÓëÂÑϸ°û
½áºÏʱ£¬ÐγɵÄXXÊܾ«ÂÑ¾Í ·¢Óý³ÉÅ®º¢;µ±Y¾«×ÓÓëÂÑϸ°û½áºÏʱ£¬ÐγɵÄXYÊܾ«ÂÑ¾Í ·¢Óý
³ÉÄк¢¡£ÖØÄÐÇáŮ˼ÏëÑÓÐøÖÁ½ñ£¬ËäÈ»ÏÖÔÚ¹ÛÄîת±ä£¬ÄÐÅ®Éç»áµØÎ»ÈÕÇ÷ƽµÈ£¬µ«²»¹«Æ½ÐÔ
ÈÔÈ»¹ã·º´æÔÚ£¬ÓÈÆäÔÚÆ«Ô¶ ÂäºóµØÇø£¬ÕâÖַ⽨µÄªϰ»¹ÔÚ¶¾º¦×ÅÒ»´úÓÖÒ»´úÈË¡£
ÌâÄ¿À´Ô´£º2016Äê5Öп¼3ÄêÄ£Äâ³õÖÐÉúÎï°ËÄ꼶ϲáËս̰æ > µÚÈý½Ú È˵ÄÐÔ±ð¾ö¶¨
| Äê¼¶ | ¸ßÖÐ¿Î³Ì | Äê¼¶ | ³õÖÐ¿Î³Ì |
| ¸ßÒ» | ¸ßÒ»Ãâ·Ñ¿Î³ÌÍÆ¼ö£¡ | ³õÒ» | ³õÒ»Ãâ·Ñ¿Î³ÌÍÆ¼ö£¡ |
| ¸ß¶þ | ¸ß¶þÃâ·Ñ¿Î³ÌÍÆ¼ö£¡ | ³õ¶þ | ³õ¶þÃâ·Ñ¿Î³ÌÍÆ¼ö£¡ |
| ¸ßÈý | ¸ßÈýÃâ·Ñ¿Î³ÌÍÆ¼ö£¡ | ³õÈý | ³õÈýÃâ·Ñ¿Î³ÌÍÆ¼ö£¡ |
¿ÆÄ¿£º³õÖÐÉúÎï À´Ô´£º ÌâÐÍ£º
5. (2015ºÓÄÏ·ö¹µÆÚÖÐ,3,* ¡î¡î) ͼ8-22-2-3±íʾÈËµÄ Ë«ÑÛÆ¤µÄÒÅ´«Í¼½â¸ù¾Ýͼ»Ø´ðÎÊÌ⣺
![]()
(1) È˵ÄË«ÑÛÆ¤ÐÔ×´ÓÉ »ùÒò¿ØÖÆ£¬µ¥ÑÛÆ¤ÐÔ×´ÓÉ »ùÒò¿ØÖÆ¡£
(2) ¿ØÖÆË«ÑÛÆ¤ÐÔ×´µÄÒ»¶Ô»ùÒòλÓÚÒ»¶Ô ÉÏ£¬
ÔÚÐγÉÉúֳϸ°ûʱ£¬ÕâÒ»¶Ô»ùÒòÒª·Ö¿ª£¬·Ö±ð½øÈË Á½¸öÉúֳϸ°ûÖС£
(3) ¸¸Ä¸Ìåϸ°ûÖеĻùÒòΪAa ,ÔòËûÃǸ÷²úÉúÁ½ÖÖÉúֳϸ°û£¬¼´ ºÍ £¬±ÈÀýΪ ¡£
(4) Õâ¶Ô·ò¸¾²úÉúË«ÑÛÆ¤ºó´úµÄ¿ÉÄÜÐÔΪ ¡£
(5) ´ÓÖÐÎÒÃÇ¿ÉÒÔ¿´³ö£¬¸¸Ä¸µÄÐÔ×´ÊÇͨ¹ý ´«¸øºó´úµÄ¡£
²é¿´´ð°¸ºÍ½âÎö>>
¿ÆÄ¿£º³õÖÐÉúÎï À´Ô´£º ÌâÐÍ£º
1. (2015½ËÕÌ©ÖÝ£¬65, ¡ï¡î¡î) ÄÐÐÔµÄÐÔȾɫÌåΪXY,Å®ÐÔµÄÐÔȾɫÌåΪXX£¬¾«×ÓÖеÄÐÔȾɫÌåΪ ()
A. xx B. XY C. X »ò Y D. X
²é¿´´ð°¸ºÍ½âÎö>>
¿ÆÄ¿£º³õÖÐÉúÎï À´Ô´£º ÌâÐÍ£º
6. ÏÂÁÐÐèÒª½øÐÐÒÅ´«×ÉѯµÄÊÇ ()
A. Ç×ÊôÖÐÓÐÉú¹ýÏÈÌìÐÔ»ûÐκ¢×ӵĴý»éÇàÄê
B. µÃ¹ý¸ÎÑ׵ķò¸¾
C. ¸¸Ä¸ÖÐÓкóÌìÖ«Ìå²Ð¼²µÄ´ý»éÇàÄê
D. µÃ¹ýÒÒÐÍÄÔÑ׵ķò¸¾
²é¿´´ð°¸ºÍ½âÎö>>
¿ÆÄ¿£º³õÖÐÉúÎï À´Ô´£º ÌâÐÍ£º
5. (2011¸£½¨ÆÎÌï,31,¡ï¡î¡î) ͼ8-21-4-1ÊÇÇàÍܸöÌå·¢Óý¹ý³Ìͼ,Çë¾Ýͼ»Ø´ð¡£
![]()
(1) ÇàÍܸöÌå·¢ÓýµÄÆðµãÊÇ[ ] ¡£
q) ͼÖÐB±íʾµÄ¸öÌåÓà ºôÎü(Ñ¡Ìî¡°Èú¡±»ò¡°·Î¡±) ¡£
(3) ÇàÍܵÄÉúÖ³ºÍ·¢ÓýÔÚ ½øÐУ¬Æä·¢Óý·½Ê½Îª ·¢Óý¡£
(4) ÇàÍÜÊDZäζ¯ÎÔÚ¶¬¼¾À´ÁÙʱ£¬¾Í×ê½ø¶´ÄÚ½øÐÐ ¡£
²é¿´´ð°¸ºÍ½âÎö>>
¿ÆÄ¿£º³õÖÐÉúÎï À´Ô´£º ÌâÐÍ£º
2. (2014ºÓ±±äµË®ÁÖÇåËÂÖÐѧÆÚÖУ¬21, ¡ï¡î¡î) ´«Í³Ò½Ñ§ÑÐ ¾¿ÈÏΪ£¬ÄÐÅ®µÄÊÙÃü£¬ÓëÐÔȾɫÌåÓйء£ÐÔȾɫÌåÊÇÖ¸()
A. ÐγÉÊܾ«ÂÑʱÄܹ»Åä¶ÔµÄȾɫÌå
B. ÓëÐÔ±ð¾ö¶¨ÓйصÄȾɫÌå
C. ÐÔϸ°ûÐγÉÖÐÓÐÅä¶ÔÐÐΪµÄȾɫÌå
D. ÐÔϸ°ûÖеÄȾɫÌå
²é¿´´ð°¸ºÍ½âÎö>>
¿ÆÄ¿£º³õÖÐÉúÎï À´Ô´£º ÌâÐÍ£º
5. ÓÅÉúÊÇÖ¸ÈÃÿ¸ö¼ÒÍ¥ÉúÓý³ö µÄº¢×Ó,ÓÅÓýÔòÊÇÈÃÿ¸ö³öÉúµÄº¢×Ó ³É³¤¡£
²é¿´´ð°¸ºÍ½âÎö>>
¿ÆÄ¿£º³õÖÐÉúÎï À´Ô´£º ÌâÐÍ£º
6. ½ü°ÙÄêÀ´£¬·¢½Í¼¼Êõ·¢ÉúÁ˾޴óµÄ±ä»¯£¬ÒѾ´ÓÀûÓÃ×ÔÈ»½ç ½øÈ˵½ÀûÓøÄÔì¹ýµÄ ÐÂÆ·ÖÖÀ´Éú²ú·¢½Í²úÆ·µÄ½×¶Î¡£
²é¿´´ð°¸ºÍ½âÎö>>
¹ú¼ÊѧУÓÅÑ¡ - Á·Ï°²áÁбí - ÊÔÌâÁбí
ºþ±±Ê¡»¥ÁªÍøÎ¥·¨ºÍ²»Á¼ÐÅÏ¢¾Ù±¨Æ½Ì¨ | ÍøÉÏÓк¦ÐÅÏ¢¾Ù±¨×¨Çø | µçÐÅթƾٱ¨×¨Çø | ÉæÀúÊ·ÐéÎÞÖ÷ÒåÓк¦ÐÅÏ¢¾Ù±¨×¨Çø | ÉæÆóÇÖȨ¾Ù±¨×¨Çø
Î¥·¨ºÍ²»Á¼ÐÅÏ¢¾Ù±¨µç»°£º027-86699610 ¾Ù±¨ÓÊÏ䣺58377363@163.com