精英家教网 > 初中数学 > 题目详情

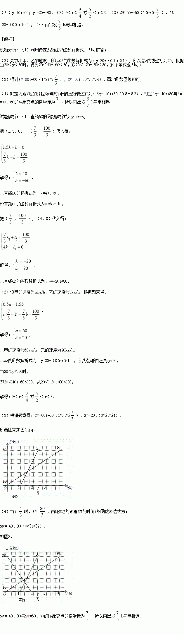
方成同学看到一则材料:甲开汽车,乙骑自行车从M地出发沿一条公路匀速前往N地.设乙行驶的时间为t(h),甲乙两人之间的距离为y(km),y与t的函数关系如图1所示.

方成思考后发现了如图1的部分正确信息:乙先出发1h;甲出发0.5小时与乙相遇.

请你帮助方成同学解决以下问题:

(1)分别求出线段BC,CD所在直线的函数表达式;

(2)当20<y<30时,求t的取值范围;

(3)分别求出甲,乙行驶的路程S甲,S乙与时间t的函数表达式,并在图2所给的直角坐标系中分别画出它们的图象;

(4)丙骑摩托车与乙同时出发,从N地沿同一公路匀速前往M地,若丙经过h与乙相遇,问丙出发后多少时间与甲相遇?

练习册系列答案
相关习题

科目:初中数学 来源:2016届江西省九年级下学期第一次模拟测试数学试卷(解析版) 题型:解答题

如图,已知Rt△ABC中,斜边BC上的高AD=4,COSB=求AC边的长度

查看答案和解析>>

科目:初中数学 来源:2016届四川省巴中市巴州区九年级下学期第一次月考数学试卷(解析版) 题型:选择题

已知抛物线y=x2+x-1经过点P(m,5),则代数式m2+m+2016的值为( )

A.2021 B.2022 C.2023 D.2024

查看答案和解析>>

科目:初中数学 来源:2016届云南省临沧市九年级上学期期末数学试卷(解析版) 题型:填空题

已知抛物线y=ax2+bx+c(a>0)的对称轴为直线x=1,且经过点(-1,y1),(2,y2),试比较y1和y2的大小:y1 y2.

查看答案和解析>>

科目:初中数学 来源:2016届云南省临沧市九年级上学期期末数学试卷(解析版) 题型:选择题

某超市1月份的营业额为200万元,3月份的营业额为600万元,如果平均每月增长率为x,根据题意列出方程为( )

A.200(1+x)2=600 B.200+200x=600

C.200+200×2x=600 D.200[1+(1+x)+(1+x)2]=600

查看答案和解析>>

科目:初中数学 来源:2016届浙江省绍兴市九年级下学期第一次月考数学试卷(解析版) 题型:解答题

为了解某种电动汽车的性能,对这种电动汽车进行了抽检,将一次充电后行驶的里程数分为A,B,C,D四个等级,其中相应等级的里程依次为200千米,210千米,220千米,230千米,获得如下不完整的统计图.

根据以上信息,解答下列问题:

(1)问这次被抽检的电动汽车共有几辆?并补全条形统计图;

(2)估计这种电动汽车一次充电后行驶的平均里程数为多少千米?

查看答案和解析>>

科目:初中数学 来源:2016届浙江省绍兴市九年级下学期第一次月考数学试卷(解析版) 题型:填空题

如图,已知点A(0,1),B(0,﹣1),以点A为圆心,AB为半径作圆,交x轴的正半轴于点C,则∠BAC等于 度.

查看答案和解析>>

科目:初中数学 来源:2016届江苏省扬州市邵樊片九年级下学期第一次月考数学试卷(解析版) 题型:解答题

已知:如图所示,△ABC为任意三角形,若将△ABC绕点C顺时针旋转180°得到△DEC。

(1)试猜想AE与BD有何关系?说明理由;

(2)请给△ABC添加一个条件,使旋转得到的四边形ABDE为矩形,并说明理由

查看答案和解析>>

科目:初中数学 来源:2016届四川省九年级3月月考数学试卷(解析版) 题型:选择题

如图,矩形ABCD的面积为5,它的两条对角线交于点O1,以AB、AO1为两邻边作平行四边形ABC1O1,平行四边形ABC1 O1的对角线交BD于点O2,同样以AB、AO2为两邻边作平行四边形ABC2O2,……,依次类推,则平行四边形ABC2009O2009的面积为( )

A. B. C. D.

查看答案和解析>>

同步练习册答案