精英家教网 > 初中数学 > 题目详情

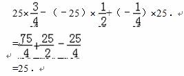
②25× ﹣(﹣25)× +(﹣ )×25.

练习册系列答案
相关习题

科目:初中数学 来源: 题型:


在 5×5 方格纸中将图①中的图形 N 平移后的位置如图②所示,那么下面平移中正确的是(      )

A.先向下移动 1 格,再向左移动 1 格

B.先向下移动 1 格,再向左移动 2 格

C.先向下移动 2 格,再向左移动 1 格

D.先向下移动 2 格,再向左移动 2 格

查看答案和解析>>

科目:初中数学 来源: 题型:


查看答案和解析>>

科目:初中数学 来源: 题型:


﹣6 的相反数是   

查看答案和解析>>

科目:初中数学 来源: 题型:


比较大小:           (填“>”或“<”)

查看答案和解析>>

科目:初中数学 来源: 题型:


一个几何体由几个大小相同的小立方块搭成,从上面观察这个几何体,看到的形状如图所示, 其中小正方形中的数字表示在该位置的小立方块的个数,请画出从正面、左面看到的这个几何体的 形状图.

查看答案和解析>>

科目:初中数学 来源: 题型:


平面直角坐标系中,点 A 的坐标为(4,3),将线段 OA 绕原点 O 顺时针旋转 90°得到 OAʹ,则 点 Aʹ的坐标是(  )

A.(﹣4,3)    B.(﹣3,4)    C.(3,﹣4)    D.(4,﹣3)

查看答案和解析>>

科目:初中数学 来源: 题型:


已知:如图,四边形 ABCD 中,ABBC,AB=1,BC=2,CD=2,AD=3,求四边形 ABCD 的 面积.

查看答案和解析>>

科目:初中数学 来源: 题型:


点 A 在数轴上距离原点 3 个单位长度,且位于原点左侧.若一个点从点 A 处向右移动 4 个单位 长度,再向左移动 1 个单位长度,此时中点所表示的数是(   )

A.0       B.6       C.﹣2   D.﹣8

查看答案和解析>>

同步练习册答案