精英家教网 > 初中数学 > 题目详情

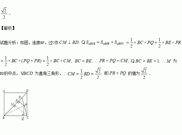
如图,E是边长为1的正方形ABCD对角线BD上一点,且BE=BC,P为CE上任意一点,PQ⊥BC于点Q,PR⊥BD于点R,则PQ+PR的值为

练习册系列答案
相关习题

科目:初中数学 来源:2016届四川省九年级下学期4月一诊考试数学试卷(解析版) 题型:填空题

分解因式:x3-2x2+x=________________________

查看答案和解析>>

科目:初中数学 来源:2016届江苏省扬州市梅苑双语学校九年级第二次中考模拟数学试卷(解析版) 题型:选择题

在下列无理数中,在-1和2之间的是( )

A. B. C. D.

查看答案和解析>>

科目:初中数学 来源:2015-2016学年江西省宜春市八年级上学期期末考试数学试卷(解析版) 题型:填空题

若分式 的值为0,则实数x的值为 .

查看答案和解析>>

科目:初中数学 来源:2015-2016学年江苏省东台市七校八年级下第一次质检数学试卷(解析版) 题型:解答题

如图 ,△ABC是等腰直角三角形,∠A=90o,点P、Q分别是AB、AC上的动点,且满足BP=AQ,D是BC的中点。

(1)求证:△PDQ是等腰直角三角形;

(2)当点P运动到什么位置时,四边形APDQ是正方形,说明理由。

查看答案和解析>>

科目:初中数学 来源:2015-2016学年江苏省东台市七校八年级下第一次质检数学试卷(解析版) 题型:填空题

平行四边形的周长为24 cm,相邻两边长的比为3:1,那么这个平行四边形较短的边长为___________cm.

查看答案和解析>>

科目:初中数学 来源:2015-2016学年江苏省东台市七校八年级下第一次质检数学试卷(解析版) 题型:选择题

平行四边形ABCD中,AC,BD相交于点O,AC=8,BD=6,则边AB的取值范围是( )

A. 1<AB<7 B. 2<AB<14 C. 6<AB<8 D. 3<AB<4

查看答案和解析>>

科目:初中数学 来源:2015-2016学年浙江省诸暨市八年级下期中数学试卷(解析版) 题型:填空题

若y=+-3,则代数式x+y的值=

查看答案和解析>>

科目:初中数学 来源:2015-2016学年四川省巴中市巴州区七年级下第一次月考数学试卷(解析版) 题型:选择题

如图直线a∥b,∠1=52°,则∠2的度数是( )

A.38° B.52° C.128° D.48°

查看答案和解析>>

同步练习册答案