ÒÑÖª£ºÔÚÆ½ÃæÖ±½Ç×ø±êϵÖУ¬Å×ÎïÏßy=ax2-x+3£¨a¡Ù0£©½»xÖáÓÚA¡¢BÁ½µã£¬½»yÖáÓÚµãC£¬ÇÒ¶Ô³ÆÖáΪֱÏßx=-2¡£
£¨1£©Çó¸ÃÅ×ÎïÏߵĽâÎöʽ¼°¶¥µãDµÄ×ø±ê£»
£¨2£©ÈôµãP£¨0£¬t£©ÊÇyÖáÉϵÄÒ»¸ö¶¯µã£¬Çë½øÐÐÈçÏÂ̽¾¿£º
̽¾¿Ò»£ºÈçͼ1£¬Éè¡÷PADµÄÃæ»ýΪS£¬ÁîW=t¡¤S£¬µ±0£¼t£¼4ʱ£¬WÊÇ·ñÓÐ×î´óÖµ£¿Èç¹ûÓУ¬Çó³öWµÄ×î´óÖµºÍ´ËʱtµÄÖµ£»Èç¹ûûÓУ¬ËµÃ÷ÀíÓÉ£»
̽¾¿¶þ£ºÈçͼ2£¬ÊÇ·ñ´æÔÚÒÔP¡¢A¡¢DΪ¶¥µãµÄÈý½ÇÐÎÓëRt¡÷AOCÏàËÆ£¿Èç¹û´æÔÚ£¬ÇóµãPµÄ×ø±ê£»Èç¹û²»´æÔÚ£¬Çë˵Ã÷ÀíÓÉ¡££¨²Î¿¼×ÊÁÏ£ºÅ×ÎïÏßy=ax2+bx+c£¨a¡Ù0£©¶Ô³ÆÖáÊÇÖ±Ïßx=£©
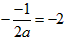
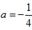
½â£º£¨1£©¡ßÅ×ÎïÏߵĶԳÆÖáΪֱÏߣ¬
¡à£¬
¡à£¬
¡à£¬
¡à£»
£¨2£©Ì½¾¿Ò»£ºµ±Ê±£¬WÓÐ×î´óÖµ£¬
¡ßÅ×ÎïÏß½»xÖáÓÚA¡¢BÁ½µã£¬½»yÖáÓÚµãC£¬
¡à£¬
¡à£¬
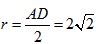
µ±Ê±£¬×÷ÖáÓÚM£¬
Ôò£¬
¡ß£¬
¡à£¬
¡ß
£¬


¡à
¡àµ±Ê±£¬WÓÐ×î´óÖµ£¬£¬
̽¾¿¶þ£º´æÔÚ£¬·ÖÈýÖÖÇé¿ö£º
¢Ùµ±Ê±£¬×÷ÖáÓÚE£¬
Ôò£¬
¡à
¡à£¬
¡à
¡ßÖᣬÖᣬ
¡à£¬
¡à£¬
¡à
¡à£¬£¬
´Ëʱ£¬ÓÖÒòΪ£¬
¡à£¬
¡à£¬
¡à£¬
¡àµ±Ê±£¬´æÔÚµãP1£¬Ê¹£¬´ËʱP1µãµÄ×ø±êΪ£¨0£¬2£©£»
¢Úµ±Ê±£¬Ôò£¬
¡à£¬
¡à£¬
¡ß£¬
¡à£¬
¡àÓë²»ÏàËÆ£¬´ËʱµãP2²»´æÔÚ£»
¢Ûµ±Ê±£¬ÒÔADΪֱ¾¶×÷£¬ÔòµÄ°ë¾¶£¬Ô²ÐÄO1µ½yÖáµÄ¾àÀ룬¡ß£¬
¡àÓëyÖáÏàÀ룬²»´æÔÚµãP3£¬Ê¹£¬
¡à×ÛÉÏËùÊö£¬Ö»´æÔÚÒ»µãʹÓëÏàËÆ¡£

Á·Ï°²áϵÁдð°¸
Ïà¹ØÏ°Ìâ

¿ÆÄ¿£º³õÖÐÊýѧ À´Ô´£º ÌâÐÍ£º

ÔÚÆ½ÃæÖ±½Ç×ø±êxOyÖУ¬·´±ÈÀýº¯Êýy=
k
x
µÄͼÏóÓëy=
3
x
µÄͼÏó¹ØÓÚxÖá¶Ô³Æ£¬ÓÖÓëÖ±Ïßy=ax+2½»ÓÚµãA£¨m£¬3£©£®ÒÑÖªµãM£¨-3£¬y1£©¡¢N£¨l£¬y2£©ºÍQ£¨3£¬y3£©Èýµã¶¼ÔÚ·´±ÈÀýº¯Êýy=
k
x
µÄͼÏóÉÏ£® 
£¨l£©±È½Ïy1¡¢y2¡¢y3µÄ´óС£»
£¨2£©ÊÔÈ·¶¨aµÄÖµ£®

²é¿´´ð°¸ºÍ½âÎö>>

¿ÆÄ¿£º³õÖÐÊýѧ À´Ô´£º ÌâÐÍ£º

ÔÚÆ½ÃæÖ±½Ç×ø±êϵÀÈçͼ£¬ÒÑÖªÖ±Ïߣºy=-x+3
2
½»yÖáÓÚµãA£¬½»xÖáÓÚµãB£¬Èý½Ç°åOCDÈçͼ1Öã¬ÆäÖСÏD=30¡ã£¬¡ÏOCD=90¡ã£¬OD=7£¬°ÑÈý½Ç°åOCDÈÆµã£®Ë³Ê±ÕëÐýת15¡ã£¬µÃµ½¡÷OC1D1£¨Èçͼ2£©£¬ÕâʱOC1½»ABÓÚµãE£¬C1D1½»ABÓÚµãF£®
£¨1£©Çó¡ÏEFC1µÄ¶ÈÊý£»
£¨2£©ÇóÏß¶ÎAD1µÄ³¤£»
£¨3£©Èô°Ñ¡÷OC1D1£¬ÈƵã0˳ʱÕëÔÙÐýת30£®µÃµ½¡÷OC2D2£¬ÕâʱµãBÔÚ¡÷OC2D2µÄÄÚ²¿¡¢Íⲿ¡¢»¹ÊDZßÉÏ£¿Ö¤Ã÷ÄãµÄÅжϣ®
¾«Ó¢¼Ò½ÌÍø

²é¿´´ð°¸ºÍ½âÎö>>

¿ÆÄ¿£º³õÖÐÊýѧ À´Ô´£º ÌâÐÍ£º

ÔÚÆ½ÃæÖ±½Ç×ø±êÖУ¬ÒÑÖªµãP£¨3-m£¬2m-4£©ÔÚµÚÒ»ÏóÏÞ£¬ÔòʵÊýmµÄȡֵ·¶Î§ÊÇ
 
£®

²é¿´´ð°¸ºÍ½âÎö>>

¿ÆÄ¿£º³õÖÐÊýѧ À´Ô´£º ÌâÐÍ£º

Èçͼ£¬ÔÚÆ½ÃæÖ±½Ç×ø±êÖУ¬ÒÑÖªÖ±Ïßy=kx+bÓëÖ±Ïßy=
1
2
x
ƽÐУ¬·Ö±ð½»xÖᣬyÖáÓÚA£¬BÁ½µã£¬ÇÒAµãµÄºá×ø±êÊÇ-4£¬ÒÔABΪ±ßÔÚµÚ¶þÏóÏÞÄÚ×÷¾ØÐÎABCD£¬Ê¹AD=
5
£®
£¨1£©Çó¾ØÐÎABCDµÄÃæ»ý£»
£¨2£©¹ýµãD×÷DH¡ÍxÖᣬ´¹×ãΪH£¬ÊÔÇóµãDµÄ×ø±ê£®

²é¿´´ð°¸ºÍ½âÎö>>

¿ÆÄ¿£º³õÖÐÊýѧ À´Ô´£º ÌâÐÍ£º

Èçͼ£¬ÔÚÆ½ÃæÖ±½Ç×ø±êxOyÖУ¬ÒÑÖªµãA£¨-5£¬0£©£¬PÊÇ·´±ÈÀýº¯Êýy=
k
x
ͼÏóÉÏÒ»µã£¬PA=OA£¬S¡÷PAO=10£¬Ôò·´±ÈÀýº¯Êýy=
k
x
µÄ½âÎöʽΪ
y=-
6
x
y=-
6
x
£®

²é¿´´ð°¸ºÍ½âÎö>>

ͬ²½Á·Ï°²á´ð°¸