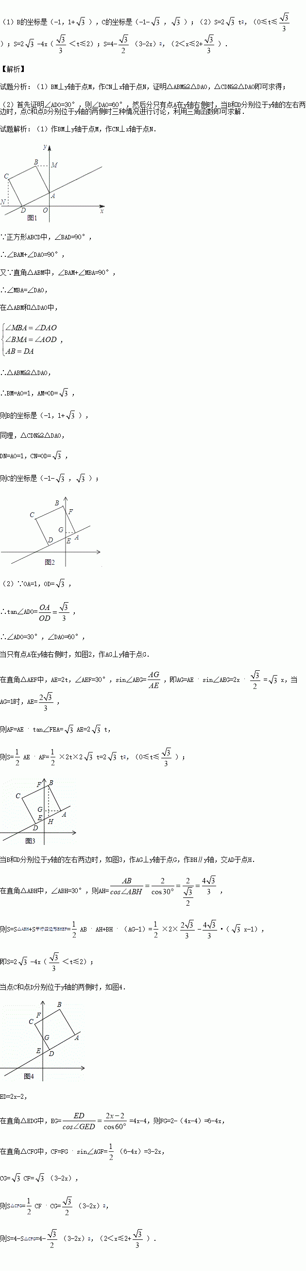
Èçͼ£¬ÔÚÆ½ÃæÖ±½Ç×ø±êϵÖУ¬ÒÑÖªµãA£¨0£¬1£©¡¢D£¨-
£¬0£©£¬×÷Ö±ÏßAD²¢ÒÔÏß¶ÎADΪһ±ßÏòÉÏ×÷Õý·½ÐÎABCD£®
![]()
£¨1£©Ìî¿Õ£ºµãBµÄ×ø±êΪ________£¬µãCµÄ×ø±êΪ_________£®
£¨2£©ÈôÕý·½ÐÎÒÔÿÃë2¸öµ¥Î»³¤¶ÈµÄËÙ¶ÈÑØÉäÏßDAÏòÉÏÆ½ÒÆ£¬Ö±ÖÁÕý·½ÐεĶ¥µãCÂäÔÚyÖáÉÏʱֹͣÔ˶¯£®ÔÚÔ˶¯¹ý³ÌÖУ¬ÉèÕý·½ÐÎÂäÔÚyÖáÓҲಿ·ÖµÄÃæ»ýΪS£¬ÇóS¹ØÓÚÆ½ÒÆÊ±¼ät£¨Ã룩µÄº¯Êý¹ØÏµÊ½£¬²¢Ð´³öÏàÓ¦µÄ×Ô±äÁ¿tµÄȡֵ·¶Î§£®
| Äê¼¶ | ¸ßÖÐ¿Î³Ì | Äê¼¶ | ³õÖÐ¿Î³Ì |
| ¸ßÒ» | ¸ßÒ»Ãâ·Ñ¿Î³ÌÍÆ¼ö£¡ | ³õÒ» | ³õÒ»Ãâ·Ñ¿Î³ÌÍÆ¼ö£¡ |
| ¸ß¶þ | ¸ß¶þÃâ·Ñ¿Î³ÌÍÆ¼ö£¡ | ³õ¶þ | ³õ¶þÃâ·Ñ¿Î³ÌÍÆ¼ö£¡ |
| ¸ßÈý | ¸ßÈýÃâ·Ñ¿Î³ÌÍÆ¼ö£¡ | ³õÈý | ³õÈýÃâ·Ñ¿Î³ÌÍÆ¼ö£¡ |
¿ÆÄ¿£º³õÖÐÊýѧ À´Ô´£º2014-2015ѧÄêºþÄÏÊ¡¾ÅÄê¼¶Äê¼¶ÉÏÆÚÄ©¿¼ÊÔÊýѧÊÔ¾í£¨½âÎö°æ£© ÌâÐÍ£º½â´ðÌâ
2011ÄêÎÒÊÐÌåÎÀÕ¾¶ÔijУ¾ÅÄ꼶ѧÉúÌåÓý²âÊÔÇé¿ö½øÐе÷ÑУ¬´Ó¸ÃУ360Ãû¾ÅÄ꼶ѧÉúÖгéÈ¡Á˲¿·ÖѧÉúµÄ³É¼¨(³É¼¨·ÖΪA¡¢B¡¢CÈý¸ö²ã´Î)½øÐзÖÎö£¬»æÖÆÁËÆµÊý·Ö²¼±íÓëÆµÊý·Ö²¼Ö±·½Í¼(Èçͼ)£¬Çë¸ù¾Ýͼ±íÐÅÏ¢½â´ðÏÂÁÐÎÊÌ⣺
![]()
¢Å²¹È«ÆµÊý·Ö²¼±íÓëÆµÊý·Ö²¼Ö±·½Í¼£»
¢ÆÈç¹û³É¼¨ÎªAµÈ¼¶µÄͬѧÊôÓÚÓÅÐ㣬ÇëÄã¹À¼Æ¸ÃУ¾ÅÄê¼¶Ô¼ÓжàÉÙÈË´ïµ½ÓÅÐãˮƽ£¿
²é¿´´ð°¸ºÍ½âÎö>>
¿ÆÄ¿£º³õÖÐÊýѧ À´Ô´£º2016½ì°²»ÕÊ¡ÎߺþÊÐÄÏÁêÏØ¾ÅÄê¼¶ÏÂѧÆÚÖп¼µÚÒ»´ÎÄ£Ä⿼ÊÔÊýѧÊÔ¾í£¨½âÎö°æ£© ÌâÐÍ£ºÑ¡ÔñÌâ
µØÇòµ½ÔÂÇòµÄƽ¾ù¾àÀëÊÇ384400ǧÃ×£¬°Ñ384400Õâ¸öÊýÓÿÆÑ§¼ÇÊý·¨±íʾΪ£¨ £©£®
A£®
B£®
C£®
D£®![]()
²é¿´´ð°¸ºÍ½âÎö>>
¿ÆÄ¿£º³õÖÐÊýѧ À´Ô´£º2016½ìÖØÇìÊоÅÄê¼¶ÏÂѧÆÚµÚÒ»½×¶Î¼ì²âÊýѧÊÔ¾í£¨½âÎö°æ£© ÌâÐÍ£ºÑ¡ÔñÌâ
Èçͼ£¬ÏÂÁÐͼ°¸¾ùÊdz¤¶ÈÏàͬµÄ»ð²ñ°´Ò»¶¨µÄ¹æÂÉÆ´´î¶ø³É£¬Ã¿¸öΧ³ÉµÄСÕý·½ÐÎÃæ»ýΪ1cm2£¬µÚ1¸öͼ°¸Ãæ»ýΪ2cm2£¬µÚ2¸öͼ°¸Ãæ»ýΪ4cm2£¬µÚ3¸öͼ°¸Ãæ»ýΪ7cm2¡£¬ÒÀ´Ë¹æÂÉ£¬µÚ8¸öͼ°¸Ãæ»ýΪ£¨ £©cm2£®
![]()
A£®35 B£®36 C£®37 D£®38
²é¿´´ð°¸ºÍ½âÎö>>
¿ÆÄ¿£º³õÖÐÊýѧ À´Ô´£º2016½ìÖØÇìÊоÅÄê¼¶ÏÂѧÆÚµÚÒ»½×¶Î¼ì²âÊýѧÊÔ¾í£¨½âÎö°æ£© ÌâÐÍ£ºÑ¡ÔñÌâ
Èçͼ£¬Ö±Ïß
£¬Ö±Ïß
·Ö±ð½»Ö±ÏßAB¡¢CDÓÚµãE¡¢F£¬EGƽ·Ö
½»CDÓÚµãG£¬Èô
£¬Ôò
µÄ´óСÊÇ£¨ £©
![]()
A£®72¡ã B£®67¡ã C£®70¡ã D£®68¡ã
²é¿´´ð°¸ºÍ½âÎö>>
¿ÆÄ¿£º³õÖÐÊýѧ À´Ô´£º2016½ì½ËÕÊ¡ÎÞÎýÊоÅÄê¼¶3Ô½׶βâÊÔÊýѧÊÔ¾í£¨½âÎö°æ£© ÌâÐÍ£º½â´ðÌâ
Èçͼ£¬ÔÚ¡÷ABCÖУ¬¡ÏACB£½90¡ã£¬EΪBCÉÏÒ»µã£¬ÒÔCEΪֱ¾¶×÷¡ÑO£¬ABÓë¡ÑOÏàÇÐÓÚµãD£¬Á¬½ÓCD£¬ÈôBE£½OE£½2£®
![]()
(1)ÇóÖ¤£º¡ÏA£½2¡ÏDCB£»
(2)ÇóͼÖÐÒõÓ°²¿·ÖµÄÃæ»ý£¨½á¹û±£Áô
ºÍ¸ùºÅ£©£®
²é¿´´ð°¸ºÍ½âÎö>>
¿ÆÄ¿£º³õÖÐÊýѧ À´Ô´£º2016½ì½ËÕÊ¡ÎÞÎýÊоÅÄê¼¶3Ô½׶βâÊÔÊýѧÊÔ¾í£¨½âÎö°æ£© ÌâÐÍ£ºÌî¿ÕÌâ
ΪÁËÁ˽âÄ³Ð¡Çø¾ÓÃñµÄÓÃË®Çé¿ö£¬Ëæ»ú³é²éÁ˸ÃÐ¡Çø20»§¼ÒÍ¥µÄÔÂÓÃË®Á¿£¬Êý¾Ý¼ûÏÂ±í£º
![]()
Õâ20»§¼Òͥƽ¾ùÔÂÓÃË®Á¿ÊÇ m3£®
²é¿´´ð°¸ºÍ½âÎö>>
¿ÆÄ¿£º³õÖÐÊýѧ À´Ô´£º2016½ì½Î÷Ê¡¸§ÖÝÊоÅÄê¼¶ÏÂѧÆÚµÚËÄ´ÎÔ¿¼ÊýѧÊÔ¾í£¨½âÎö°æ£© ÌâÐÍ£º½â´ðÌâ
Èçͼ£¬Ö±Ïßy=-3x+3ÓëxÖá¡¢yÖá·Ö±ð½»ÓÚµãA¡¢B£¬Å×ÎïÏßy=a(x-2)2+k¾¹ýµãA£¬B£¬²¢ÓëxÖá½»ÓÚÁíÒ»µãC£¬Æä¶¥µãΪP.
![]()
(1)Çóa,kµÄÖµ¼°µãCµÄ×ø±ê;
(2)Å×ÎïÏߵĶԳÆÖáÉÏÓÐÒ»µãQ£¬Ê¹¡÷ABQÊÇÒÔABΪµ×±ßµÄµÈÑüÈý½ÇÐΣ¬ÇóQµãµÄ×ø±ê.
²é¿´´ð°¸ºÍ½âÎö>>
¿ÆÄ¿£º³õÖÐÊýѧ À´Ô´£º2016½ì½ËÕÊ¡ÎÞÎýÊÐʵÑéѧУ¾ÅÄ꼶ϵÚÒ»´ÎÔ¿¼ÊýѧÊÔ¾í£¨½âÎö°æ£© ÌâÐÍ£ºÑ¡ÔñÌâ
ÔÚ¡÷ABCÖУ¬¡ÏABC£½30¡ã£¬AB±ß³¤Îª10£¬AC±ßµÄ³¤¶È¿ÉÒÔÔÚ3¡¢5¡¢7¡¢9¡¢11ÖÐȡֵ£¬Âú×ãÕâЩÌõ¼þµÄ»¥²»È«µÈµÄÈý½ÇÐεĸöÊýÊÇ£¨ £©
A£®3¸ö B£®4¸ö C£®5¸ö D£®6¸ö
²é¿´´ð°¸ºÍ½âÎö>>
¹ú¼ÊѧУÓÅÑ¡ - Á·Ï°²áÁбí - ÊÔÌâÁбí
ºþ±±Ê¡»¥ÁªÍøÎ¥·¨ºÍ²»Á¼ÐÅÏ¢¾Ù±¨Æ½Ì¨ | ÍøÉÏÓк¦ÐÅÏ¢¾Ù±¨×¨Çø | µçÐÅթƾٱ¨×¨Çø | ÉæÀúÊ·ÐéÎÞÖ÷ÒåÓк¦ÐÅÏ¢¾Ù±¨×¨Çø | ÉæÆóÇÖȨ¾Ù±¨×¨Çø
Î¥·¨ºÍ²»Á¼ÐÅÏ¢¾Ù±¨µç»°£º027-86699610 ¾Ù±¨ÓÊÏ䣺58377363@163.com