精英家教网 > 初中数学 > 题目详情

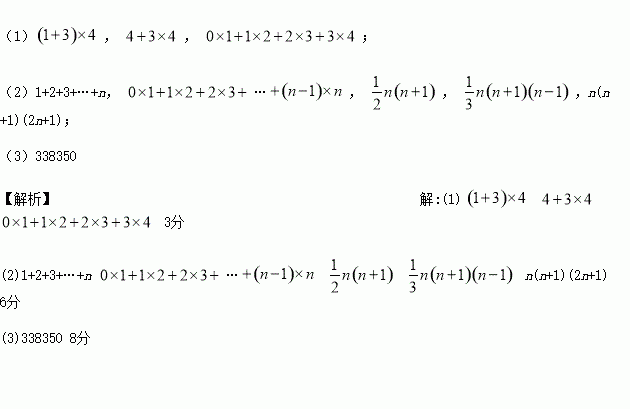
同学们,我们曾经研究过的正方形网格,得到了网格中正方形的总数的表达式为12+22+32+…+n2.但n为100时,应如何计算正方形的具体个数呢?下面我们就一起来探究并解决这个问题.首先,通过探究我们已经知道: 时,我们可以这样做:

(1)观察并猜想:

;

=

=;

=

= ( );…

(2)归纳结论:

=

=( )+[ ]

= +

= .

(3)实践应用:

通过以上探究过程,我们就可以算出当n为100时,正方形网格中正方形的总个数是 .

练习册系列答案
相关习题

科目:初中数学 来源:山东省临沂市蒙阴县2017届九年级第二轮模拟考试数学试卷 题型:填空题

方程的解为_________________.

查看答案和解析>>

科目:初中数学 来源:北京市2016-2017学年七年级(下)期末模拟数学试卷 题型:解答题

某校为了开设武术、舞蹈、剪纸等三项活动课程以提升学生的体艺素养,随机抽取了部分学生对这三项活动的兴趣情况进行了调查(每人从中只能选一项),并将调查结果绘制成如图两幅统计图,请你结合图中信息解答问题.

(1)求出女生喜欢舞蹈的人数并将条形统计图补充完整;

(2)本次抽样调查的样本容量是

(3)已知该校有1200名学生,请你根据样本估计全校学生中喜欢剪纸的人数是

查看答案和解析>>

科目:初中数学 来源:北京市2016-2017学年七年级(下)期末模拟数学试卷 题型:单选题

某居民小区开展节约用电活动,对该小区30户家庭的节电量情况进行了统计,五月份与四月份相比,节电情况如下表:

节电量(度)

10

20

30

40

户数

2

15

10

3

则五月份这30户家庭节电量的众数与中位数分别为( )

A. 20,20 B. 20,25 C. 30,25 D. 40,20

查看答案和解析>>

科目:初中数学 来源:【全国省毕业学业考试模拟试卷数学试卷 题型:解答题

在面积为24的△ABC中,矩形DEFG的边DE在AB上运动,点F,G分别在边BC,AC上.

(1)若AB=8,DE=2EF,求GF的长;

(2)若,如图2,线段DM,EN分别为△ADG和△BEF的角平分线,求证:MG=NF;

(3)求出矩形DEFG的面积的最大值.

查看答案和解析>>

科目:初中数学 来源:【全国省毕业学业考试模拟试卷数学试卷 题型:填空题

矩形OABC有两边在坐标轴的正半轴上,如图所示,双曲线与边AB,BC分别交于D,E两点,OE交双曲线于点G,若DG∥OA,OA=3,则CE的长为________.

查看答案和解析>>

科目:初中数学 来源:【全国省毕业学业考试模拟试卷数学试卷 题型:单选题

一个不等式组的解集在数轴上表示如图,则这个不等式组可能是 (  )

A. B. C. D.

查看答案和解析>>

科目:初中数学 来源:【全国区级联考】四川省毕业生升学考试数学模拟试卷 题型:填空题

分解因式: =_______________.

查看答案和解析>>

科目:初中数学 来源:【全国区级联考】四川省资阳市雁江区2017届九年级5月适应性考试数学试卷 题型:解答题

如图,AB是⊙O的直径,点C为⊙O上一点,AE和过点C的切线互相垂直,垂足为E,AE交⊙O于点D,直线EC交AB的延长线于点P,连接AC,BC,PB:PC=1:2.

(1)求证:AC平分∠BAD;

(2)探究线段PB,AB之间的数量关系,并说明理由;

(3)若AD=3,求△ABC的面积.

查看答案和解析>>

同步练习册答案