精英家教网 > 初中数学 > 题目详情

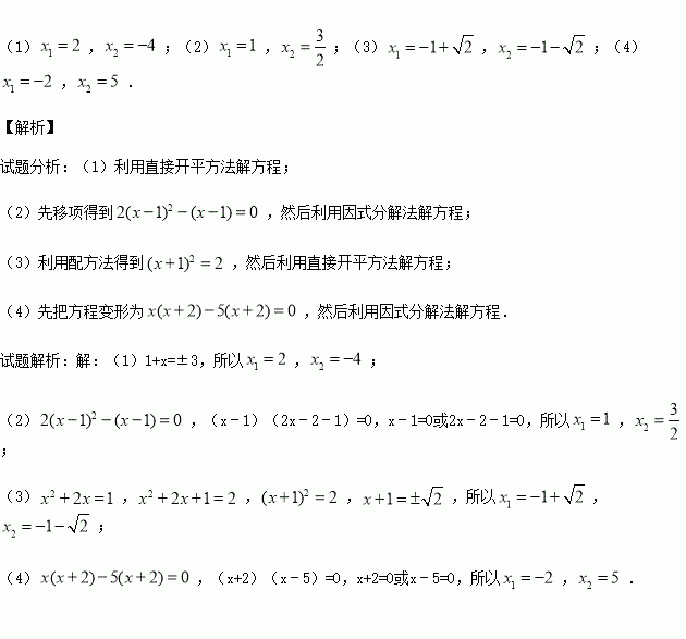
解方程:

(1)

(2)

(3)

(4)

练习册系列答案
相关习题

科目:初中数学 来源:2015-2016学年湖南省邵阳县黄亭市七年级上学期期中数学试卷(解析版) 题型:填空题

是同类项,则= .

查看答案和解析>>

科目:初中数学 来源:2015-2016学年安徽省蚌埠新城教育集团八年级上学期期中数学试卷(解析版) 题型:解答题

已知:如图1,线段AB、CD相交于点O,连接AD、CB,我们把形如图1的图形称之为“8字形”.试解答下列问题:

(1)在图1中,请直接写出∠A、∠B、∠C、∠D之间的数量关 ;

(2)在图2中,若∠D=40°,∠B=36°,∠DAB和∠BCD的平分线AP和CP相交于点P,并且与CD、AB分别相交于M、N.利用(1)的结论,试求∠P的度数;

(3)如果图2中∠D和∠B为任意角时,其他条件不变,试问∠P与∠D、∠B之间存在着怎样的数量关系?并说明理由.

查看答案和解析>>

科目:初中数学 来源:2015-2016学年安徽省蚌埠新城教育集团八年级上学期期中数学试卷(解析版) 题型:选择题

下列四个图形中,线段BE是△ABC的高的是( )

A. B. C. D.

查看答案和解析>>

科目:初中数学 来源:2016届江苏省无锡市北塘区九年级上学期期中考试数学试卷(解析版) 题型:解答题

如图,在△ABC中,AD为∠BAC的平分线,点E在BC的延长线上,且∠EAC=∠B,以DE为直径的半圆交AD于点F,交AE于点M.

(1)判断AF与DF的数量关系,并说明理由.

(2)只用无刻度的直尺画出△ADE的边DE上的高AH(不要求写做法,保留作图痕迹) .

(3)若EF=8,DF=6,求DH的长.

查看答案和解析>>

科目:初中数学 来源:2016届江苏省无锡市北塘区九年级上学期期中考试数学试卷(解析版) 题型:填空题

若⊙O的半径是方程=0的一个根,圆心O到直线l的距离为3,则直l与⊙O的位置关系是 .

查看答案和解析>>

科目:初中数学 来源:2016届江苏省无锡市北塘区九年级上学期期中考试数学试卷(解析版) 题型:选择题

如图,AB是⊙O的直径,AB垂直于弦CD,∠BOC=70°,则∠ABD的度数为( )

A.20° B.46° C.55° D.70°

查看答案和解析>>

科目:初中数学 来源:2016届江苏省泰兴市九年级上学期期中考试数学试卷(解析版) 题型:填空题

如图,E,G,F,H分别是矩形ABCD四条边上的点,EF⊥GH,若AB=2,BC=3,则EF︰GH= .

查看答案和解析>>

科目:初中数学 来源:2016届湖南省邵阳县黄亭市九年级上学期期中考试数学试卷(解析版) 题型:选择题

使分式的值等于零的x是( )

A.6 B.﹣1或6 C.﹣1 D.﹣6

查看答案和解析>>

同步练习册答案