精英家教网 > 初中数学 > 题目详情

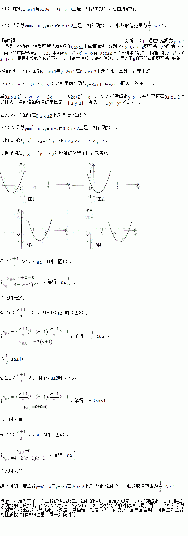
如图,点P(x,y1)与Q(x,y2)分别是两个函数图象C1与C2上的任一点.当a≤x≤b时,有﹣1≤y1﹣y2≤1成立,则称这两个函数在a≤x≤b上是“相邻函数”,否则称它们在a≤x≤b上是“非相邻函数”.例如,点P(x,y1)与Q(x,y2)分别是两个函数y=3x+1与y=2x﹣1图象上的任一点,当﹣3≤x≤﹣1时,y1﹣y2=(3x+1)﹣(2x﹣1)=x+2,通过构造函数y=x+2并研究它在﹣3≤x≤﹣1上的性质,得到该函数值的范围是﹣1≤y≤1,所以﹣1≤y1﹣y2≤1成立,因此这两个函数在﹣3≤x≤﹣1上是“相邻函数”.

(1)判断函数y=3x+1与y=2x+2在0≤x≤2上是否为“相邻函数”,并说明理由;

(2)若函数y=x2﹣x与y=x•a在0≤x≤2上是“相邻函数”,求a的取值范围.

练习册系列答案
相关习题

科目:初中数学 来源:北京市2017届九年级4月月考数学试卷 题型:解答题

甲、乙两人进行摸牌游戏。现有四张形状大小完全相同的牌,正面分别标有数字1,2,3,4。将四张牌背面朝上,洗匀后放在桌子上。甲从中随机抽取一张牌,记录数字后放回洗匀,乙再随机抽取一张。

(1)请用列表法或画树状图的方法,求两人抽取相同数字的概率;

(2)若两人抽取的数字差的绝对值等于1,则甲获胜;若抽取的数字差的绝对值大于1,则乙获胜。这个游戏公平吗?请用概率的知识加以解释。

查看答案和解析>>

科目:初中数学 来源:【全国市里联考】山东省寿光市2017届九年级学业水平模拟考试(一模)数学试卷 题型:单选题

如图,点A,B的坐标分别为(1,4)和(4,4),抛物线y=a(x-m)2+n的顶点在线段AB上运动,与x轴交于C.D两点(C在D的左侧),点C的横坐标最小值为-3,则点D的横坐标最大值为(      )

A. -3 B. 1 C. 5 D. 8

查看答案和解析>>

科目:初中数学 来源:【全国区级联考】广东省深圳市罗湖区2017届九年级下学期第二次调研(二模)数学试卷 题型:单选题

如图,在矩形ABCD中,O为AC中点,EF过O点且EF⊥AC分别交DC于F,交AB于点E,点G是AE中点且∠AOG=30°,则下列结论正确的个数为(   )
(1)DC=3OG;   (2)OG=BC;  ( 3)∆OGE是等边三角形;  ( 4)S∆AOE= S矩形ABCD
 

A. 1

B. 2

C. 3

D. 4

查看答案和解析>>

科目:初中数学 来源:【全国区级联考】广东省深圳市罗湖区2017届九年级下学期第二次调研(二模)数学试卷 题型:选择题

一条葡萄藤上结有五串葡萄,每串葡萄的粒数如图所示(单位:粒),则这组数据的中位数为 ( )

A.37 B.35 C.33.8 D.32

查看答案和解析>>

科目:初中数学 来源:浙江省台州市2017届九年级下学期第一次月考数学试卷 题型:解答题

如图所示,小明在绣湖公园的A处正面观测解百购物中心墙面上的电子屏幕,测得屏幕上端C处的仰角为30°,接着他正对电子屏幕方向前进7m到达B处,又测得该屏幕上端C处的仰角为45°.已知电子屏幕的下端离开地面距离DE为4m,小杨的眼睛离地面1.60m,电子屏幕的上端与墙体的顶端平齐.求电子屏幕上端与下端之间的距离CD(结果保留根号).

查看答案和解析>>

科目:初中数学 来源:浙江省台州市2017届九年级下学期第一次月考数学试卷 题型:填空题

一个扇形的半径长为5,且圆心角为72°,则此扇形的弧长为___.

查看答案和解析>>

科目:初中数学 来源:广西南宁市2017级九年级下学期第五次模拟考试数学试卷 题型:解答题

如图,在11×11的正方形网格中,每个小正方形的边长都为1,网格中有一个格点△ABC(即三角形的顶点都在格点上).

(1)在图中作出△ABC关于直线l对称的△A1B1C1;(要求A与A1,B与B1,C与C1相对应)

(2)作出△ABC绕点C顺时针方向旋转90°后得到的△A2B2C;

(3)在(2)的条件下直接写出点B旋转到B2所经过的路径的长.(结果保留π)

查看答案和解析>>

科目:初中数学 来源:江苏省高邮市、宝应县2017届九年级下学期网上阅卷第二次适应性训练(二模)数学试卷 题型:单选题

如图,⊙O是以原点为圆心, 为半径的圆,点是直线上的一点,过点作⊙O的一条切线为切点,则切线长的最小值为

A. B. C. D.

查看答案和解析>>

同步练习册答案