精英家教网 > 初中数学 > 题目详情

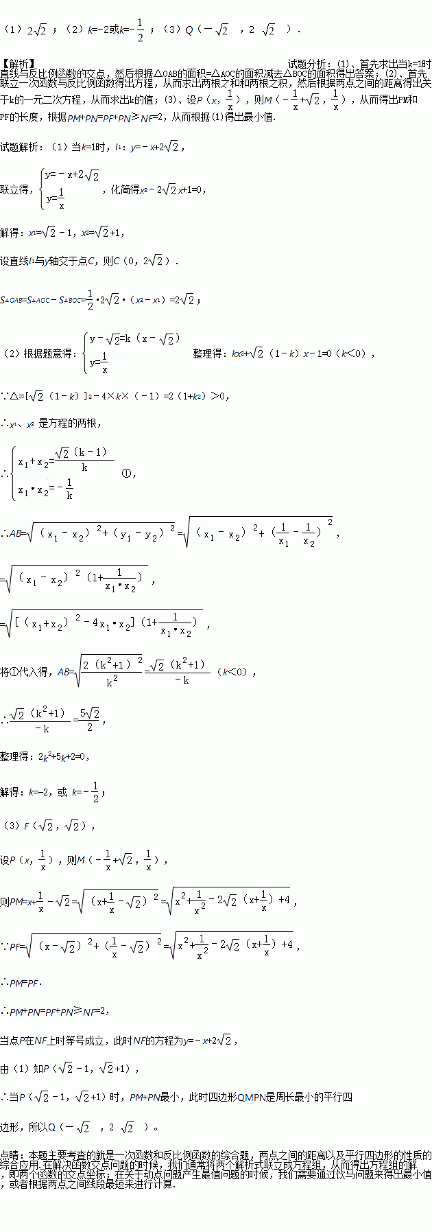
(本小题满分10分) 已知双曲线y=(x>0),直线l1:y﹣=k(x﹣)(k<0)过定点F且与双曲线交于A,B两点,设A(x1,y1),B(x2,y2)(x1<x2),直线l2:y=﹣x+

(1)若k =﹣1,求△OAB的面积S;

(2)若AB= ,求k的值;

(3)设N(0,2),P在双曲线上,M在直线l2上且PM∥x轴,问在第二象限内是否存在一点Q,使得四边形QMPN是周长最小的平行四边形,若存在,请求出Q点的坐标。

练习册系列答案
相关习题

科目:初中数学 来源: 题型:解答题

7.人民公园售出两种门票,成人票每张8元,儿童票每张5元,现在共售出3500张,总金额为23500元,这两种门票各售出多少张?

查看答案和解析>>

科目:初中数学 来源: 题型:解答题

8.某校举行人文知识竞赛,初赛题目共25题,每道题都给出4个答案,其中只有一个答案正确,每道题选对得4分,不选或选错倒扣2分,如果初赛分数不低于70分就能进入复赛,那么进入复赛的选手至少选对了多少道题?

查看答案和解析>>

科目:初中数学 来源: 题型:解答题

5.如图所示,在平面直角坐标系中,点A的坐标为(0,3),点B的坐标为(-2,0),根据要求回答下列问题:
(1)把△ABO沿着x轴的正方向平移4个单位,请你画出平移后的△A′B′O′,其中A,B,O的对应点分别是A′,B′,O′(不必写画法);
(2)在(1)的情况下,若将△A′B′O′向下平移3个单位,请直接写出点A′,B′,O′对应的点A″,B″,O″的坐标.

查看答案和解析>>

科目:初中数学 来源: 题型:解答题

12.如图,点A,D在直线a上,点B,C在直线b上,a∥b,BA⊥a,连结AC.
(1)写出与∠C相等的角;
(2)求∠BAC+∠C等于多少度.

查看答案和解析>>

科目:初中数学 来源:2017届湖北省大冶市九年级3月月考数学试卷(解析版) 题型:解答题

解不等式组并把它的解集在数轴上表示出来.

查看答案和解析>>

科目:初中数学 来源:2017届湖北省大冶市九年级3月月考数学试卷(解析版) 题型:填空题

如图,在Rt△ABC中,∠ACB=90°,∠B=60°,BC=2,△A′B′C可以由△ABC绕点C顺时针旋转得到,其中点A′与点A是对应点,点B′与点B是对应点,连接AB′,且A、B′、A′在同一条直线上,则AA′的长为______

查看答案和解析>>

科目:初中数学 来源:2016-2017学年广东省揭阳市七年级下学期第一次月考数学试卷(解析版) 题型:解答题

的值.

查看答案和解析>>

科目:初中数学 来源:2017届广西马山县民族中学春季学期第一次月考八年级数学试卷(解析版) 题型:单选题

有意义,那么x的取值范围是 ( )

A. x> B. x>- C. x D. x

查看答案和解析>>

同步练习册答案