精英家教网 > 初中数学 > 题目详情

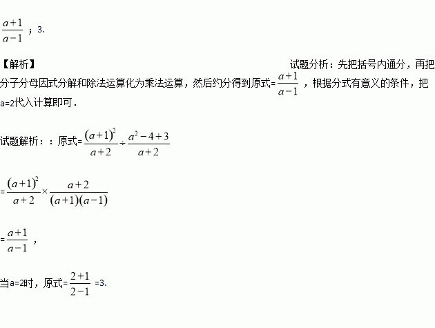
先化简,然后从﹣2,﹣1,1,2四个数中选择一个合适的数作为的值代入求值.

练习册系列答案
相关习题

科目:初中数学 来源:2016年初中毕业升学考试(贵州贵阳卷)数学(解析版) 题型:填空题

已知点M(1,a)和点N(2,b)是一次函数y=﹣2x+1图象上的两点,则a与b的大小关系是

查看答案和解析>>

科目:初中数学 来源:2016届浙江绍兴嵊州市中考一模试卷数学试卷(解析版) 题型:解答题

在平面直角坐标系中,给出如下定义:形如y=(x﹣m)(x﹣m+1)与y=(x﹣m)(x﹣m﹣1)的两个二次函数的图象叫做兄弟抛物线.

(1)试写出一对兄弟抛物线的解析式.

(2)若二次函数y=x2﹣x(图象如图)与y=x2﹣bx+2的图象是兄弟抛物线.

①求b的值.

②若直线y=k与这对兄弟抛物线有四个交点,从左往右依次为A,B,C,D四个点,若点B,点C为线段AD三等分点,求线段BC的长.

查看答案和解析>>

科目:初中数学 来源:2016届浙江绍兴嵊州市中考一模试卷数学试卷(解析版) 题型:选择题

下列计算正确的是( )

A.x3x3=2x3B.C. D.(x3)2=x5

查看答案和解析>>

科目:初中数学 来源:2016届宁夏银川外国语实验学校中考一模数学试卷(解析版) 题型:解答题

如图,AB是⊙O的直径,点E是上的一点,∠DBC=∠BED.

(1)求证:BC是⊙O的切线;

(2)已知AD=3,CD=2,求BC的长.

查看答案和解析>>

科目:初中数学 来源:2016届宁夏银川外国语实验学校中考一模数学试卷(解析版) 题型:填空题

如图,AD是⊙O的直径,弦BC⊥AD于E,AB=BC=12,则OC=

查看答案和解析>>

科目:初中数学 来源:2016届宁夏银川外国语实验学校中考一模数学试卷(解析版) 题型:选择题

学校为了丰富学生课余活动开展了一次“爱我云南,唱我云南”的歌咏比赛,共有18名同学入围,他们的决赛成绩如下表:

成绩(分)

9.40

9.50

9.60

9.70

9.80

9.90

人数

2

3

5

4

3

1

则入围同学决赛成绩的中位数和众数分别是( )

A.9.70,9.60 B.9.60,9.60 C.9.60,9.70 D.9.65,9.60

查看答案和解析>>

科目:初中数学 来源:2016届重庆九龙坡区中考适应性考试数学试卷(解析版) 题型:填空题

如图,在扇形AOB中,半径OA=2,∠AOB=120°,C为弧AB的中点,连接AC、BC,则图中阴影部分的面积是 (结果保留π).

查看答案和解析>>

科目:初中数学 来源:2016届宁夏中考模拟(一)数学试卷(解析版) 题型:选择题

-6的相反数是( )

A. B.-6 C.6 D.-

查看答案和解析>>

同步练习册答案