精英家教网 > 初中数学 > 题目详情

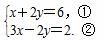
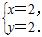
解方程组


解方程组

解法一:由①,得x=6-2y ③,

将③代入②,得3(6-2y)-2y=2,

解这个一元一次方程,得y=2,

y=2代入③,得x=2,

所以原方程组的解是

  解法二:①+②,得4x=8

解这个一元一次方程,得x=2,

x=2代入①,得y=2,

所以原方程组的解是

 

练习册系列答案
相关习题

科目:初中数学 来源: 题型:


在某校初三年级古诗词比赛中,初三(1)班42名学生的成绩统计如下:

分数

50

60

70

80

90

100

人数

1

2

8

13

14

4

则该班学生成绩的中位数和众数分别是(     )

A.70,80           B.70,90      C.80,90         D.80,100

查看答案和解析>>

科目:初中数学 来源: 题型:


如图,四边形ABCD为⊙O的内接四边形,连接ACBO,已知∠CAB=36°,∠ABO=30°,则∠D    °.

查看答案和解析>>

科目:初中数学 来源: 题型:


下列命题中,假命题的是

A.两组对边分别相等的四边形是平行四边形

B.一组对边平行且相等的四边形是平行四边形  

C.一组对边平行,一组对角相等的四边形是平行四边形

D.一组对边相等,一组对角相等的四边形是平行四边形

查看答案和解析>>

科目:初中数学 来源: 题型:


如果代数式2xy的值是3,那么代数式7-6x-3y的值是       

1

查看答案和解析>>

科目:初中数学 来源: 题型:


某纪念币从2013年11月11日起开始上市,通过市场调查得知该纪念币每1枚的市场价y(单位:元)与上市时间x(单位:天)的数据如下:

上市时间x

4

10

36

市场价y

90

51

90

(1)根据上表数据,在某一特定时期内,可从下列函数中选取一个恰当的函数描述纪念币的市场价y与上市时间x的变化关系:

          ① yaxba≠0);  ② yaxh2ka≠0);  ③ ya≠0).

         你可选择的函数的序号是     

(2)利用你选取的函数,求该纪念币上市多少天时市场价最低,最低价格是多少?

查看答案和解析>>

科目:初中数学 来源: 题型:


能判断四边形是平行四边形的是(    )

A.一组对边平行,另一组对边相等    

B.一组对边平行,一组对角相等

C.一组对边平行,一组邻角互补

D.一组对边相等,一组邻角相等

查看答案和解析>>

科目:初中数学 来源: 题型:


在矩形ABCD中,AB=16,BC=8,将矩形沿其对角线AC折叠,点D落在点E处,且CE交AB于点F,则AF=_______.

查看答案和解析>>

科目:初中数学 来源: 题型:


因式分解:      

查看答案和解析>>

同步练习册答案