精英家教网 > 初中数学 > 题目详情

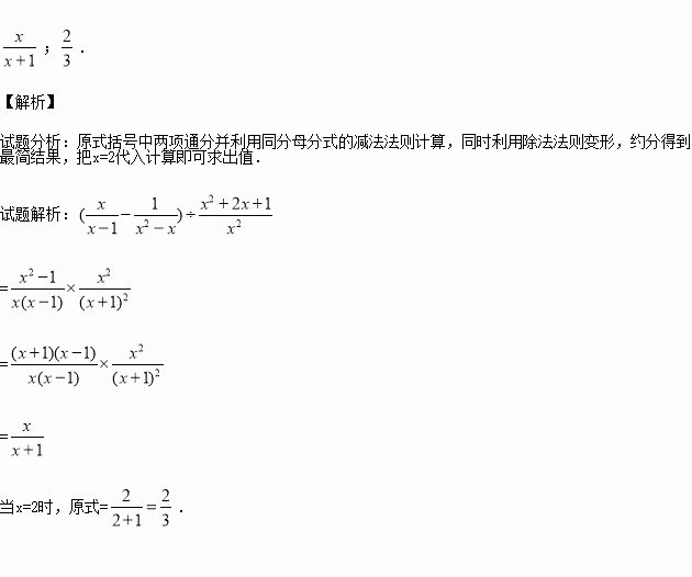
化简:,并从-1,0,1,2中选择一个合适的数求代数式的值.

练习册系列答案
相关习题

科目:初中数学 来源:2016届云南省临沧市九年级上学期期末数学试卷(解析版) 题型:选择题

如图,BD为⊙O的直径,∠A=30°,则∠CBD的度数为( )

A.30° B.60° C.80° D.120°

查看答案和解析>>

科目:初中数学 来源:2016届江苏省扬州市邵樊片九年级下学期第一次月考数学试卷(解析版) 题型:填空题

我们定义:等腰三角形中底边与腰之比叫做顶角的正对(sad),在△ABC中,AB=AC,顶角A的正对记作sadA,这时。已知的值为_______

查看答案和解析>>

科目:初中数学 来源:2016届四川省九年级3月月考数学试卷(解析版) 题型:解答题

如图,矩形OABC的顶点A(2,0)、C(0,2).将矩形OABC绕点O逆时针旋转30°.得矩形OEFG,线段GE、FO相交于点H,平行于y轴的直线MN分别交线段GF、GH、GO和x轴于点M、P、N、D,连结MH.

(1)若抛物线l经过G、O、E三点,求l的解析式;

(2)如果四边形OHMN为平行四边形,求点D的坐标;

(3)在(1)(2)的条件下,直线MN与抛物线l交于点R,动点Q在抛物线l上且在R、E两点之间(不含点R、E)运动,设△PQH的面积为s,当<s≤时,确定点Q的横坐标的取值范围.

查看答案和解析>>

科目:初中数学 来源:2016届四川省九年级3月月考数学试卷(解析版) 题型:填空题

设α,β是一元二次方程x2+2x-4=0的两实根,则α3+4α+12β-5=

查看答案和解析>>

科目:初中数学 来源:2016届四川省九年级3月月考数学试卷(解析版) 题型:填空题

分解因式:x2y-2xy2+y3=

查看答案和解析>>

科目:初中数学 来源:2016届四川省九年级3月月考数学试卷(解析版) 题型:选择题

若反比例函数y=﹣的图象经过点A(3,m),则m的值是( )

A.﹣3 B.3 C. - D.

查看答案和解析>>

科目:初中数学 来源:2016届云南省曲靖市九年级三月月考数学试卷(解析版) 题型:填空题

一条弦把圆分为2∶3的两部分,那么这条弦所对的圆周角度数为______

查看答案和解析>>

科目:初中数学 来源:2016届重庆一中九年级上学期开学数学试卷(解析版) 题型:解答题

已知等腰Rt△ABC中,∠ACB=90°,AC=BC,点G在BC上,连接AG,过C作CF⊥AG,垂足为点E,过点B作BF⊥CF于点F,点D是AB的中点,连接DE、DF.

(1)若∠CAG=30°,EG=1,求BG的长;

(2)求证:∠AED=∠DFE.

查看答案和解析>>

同步练习册答案